大数跨境

戈磊教授课题组Appl. Catal. B:CdS/PdAg/g-C3N4三元复合体系高效光催化产氢

戈磊教授课题组Appl. Catal. B:CdS/PdAg/g-C3N4三元复合体系高效光催化产氢 科学材料站
2020-09-15
0
导读:本文通过化学沉积和水热法成功地合成了三元CdS/PdAg/g-C3N4复合光催化剂。通过X射线衍射表征,证明三元体系的成功合成。当CdS和PdAg的含量分别为40 wt%和4 wt%时,制氢活性可以达


文章信息

CdS/PdAg/g-C3N4三元复合体系高效光催化产氢及机理研究
第一作者:高健峰
通讯作者:戈磊*
单位:中国石油大学(北京),中国石油勘探开发研究院廊坊分院

文章简介

近日,中国石油大学(北京)戈磊教授课题组在国际顶级期刊Applied Catalysis B: Environmental (影响因子:16.683) 上发表题为“In-situ synthesis of novel ternary CdS/PdAg/g-C3N4 hybrid photocatalyst with significantly enhanced hydrogen production activity and catalytic”的研究工作。
该工作通过简单的化学合成方法构建了CdS/PdAg/g-C3N4三元复合光催化体系,在可见光的照射(λ≥400 nm)下,其产氢活性达到了3098.3 μmol·g-1·h-1,量子效率高达9.6%。通过紫外可见漫反射光谱(DRS) 证明了光响应范围的提高,通过光致发光(PL),表面光电压(SPV)和电子自旋共振(ESR)证实了三元复合光催化体系有着更高的电荷分离效率。这项工作推动了三元复合光催化体系的发展。
该文章第一作者为中国石油大学(北京)硕士研究生高健峰
戈磊教授为本文通讯作者

全文总览

本文利用PdAg合金作为助催化剂,降低了光生电子空穴复合率,同时在体系中引入CdS,与g-C3N4之间能带结构匹配,形成异质结,进一步增强载流子的分离效率。另外PdAg合金在三元体系中,充当“电子桥”,帮助电子从g-C3N4转移到CdS,避免光生电子空穴在g-C3N4上快速复合。
并利用光致发光光谱,表面光电压,电子自旋共振光谱等表征手段进一步研究载流子的分离效率,结果与产氢性能相吻合。

研究背景

在众多的光催化材料中,由于制备原料简单易得,无毒无害的氮化碳(g-C3N4)具有良好的工业化前景。然而,石墨相氮化碳在光催化的实际应用存在一些问题,比如表观量子效率低、光生电子空穴对复合率高等,这些均影响着其光催化性能。
因此,解决这些问题g-C3N4光催化剂的光催化发展应用有着十分重要的意义, 目前主要通过构建异质结与助催化剂对g-C3N4进行改性。贵金属具有较低的费米能级,作为助催化剂有助于捕获电子,增强空穴与电子的分离效率。将g-C3N4与其他能级结构相符的其他半导体耦合,能够形成异质结构,有助于提高载流子的分离效率,从而提升光催化的活性,

研究出发点

基于以上问题,我们从助催化剂与异质结入手,构建氮化碳的三元复合体系。与合金相比,单一贵金属的助催化性能有限。由于Pd本身的能级适合,在成本方面低于贵金属Pt,但是,Pd基助催化剂的活性表面积较低,因此可以将第二种金属添加到Pd基助催化剂中以获得更高的催化性能。
Ag本身具有SPR效应,有利用增强光的吸收,提高对光的利用率。因此我们考虑采用Pd与Ag构建二元合金,作为助催化剂。CdS与g-C3N4形成异质结,能够进一步提升载流子的分离效率,同时g-C3N4的存在有助于减弱CdS本身的光腐蚀,提高光催化剂的稳定性。最终我们通过ESR、SPVTRPL等多种技术手段,证明了光生电子-空穴对分离效率提高的机制,与光催化产氢实验结果吻合。

本文要点

要点一:通过原位手段成功合成了CdS / PdAg / g-C3N4纳米复合体系

图1. X射线衍射图谱:

纯g-C3N4,CdS,CdS / g-C3N4,PdAg / g-C3N4和CdS / PdAg / g-C3N4
通过XRD分析复合体系的晶相结构,发现g-C3N4在12.9°与27.3°处的标准衍射峰,分别对应(100)与(002)晶面。在PdAg / g-C3N4二元体系中,能够发现39.1°和45°处的衍射峰,正好位于单金属Pd(JCPDS 87-643)和Ag(JCPDS 4-783)的(111)和(222)晶面之间,证明了二元合金的成功负载。在CdS / PdAg / g-C3N4三元体系中,很容易观察到24.9°,26.5°,28.2°处的三强峰,证明了CdS的成功负载。但g-C3N4的衍射峰强度明显变弱,这是因为CdS本身具有良好的结晶度,g-C3N4在27.3°处的衍射峰与之相距过近,无法明显区分。

图2. 透射电镜照片 

(a)纯g-C3N4纳米片和(b)CdS纳米棒的透射电镜图像;CdS / PdAg / g-C3N4复合光催化剂的透射图像(c),高分辨透射图像(d,e)以及元素分布图像(f)
从透射电镜图像中能够看出,g-C3N4为超薄纳米片结构,而利用水热法合成的CdS为棒状结构,其晶面间距分别为0.333nm与0.356nm,对应(002)与(110)晶面,符合实验预期。PdAg合金以黑色颗粒的形貌均匀分散在纳米片上,其晶面间距为0.233nm, 与已报道的文献的(111)晶面相符。在能谱中,能够看到各元素的均匀分布,证明了复合光催化剂的成功合成。

要点2:光催化活性高,产氢性能与量子产率维持在较高状态

图3. 光催化活性

(a)和(b)在不同CdS含量时,CdS / g-C3N4复合光催化剂的光催化活性;
(c)和(d):在不同PdAg合金含量时,40%CdS / PdAg / g-C3N4复合光催化剂的光催化活性。
在图3a中我们能够发现,纯g-C3N4的产氢性能仅为3.2 μmolg-1 h-1,而纯CdS产氢性能仅为88.1 μmolg-1 h-1,当CdS的负载量达到40%时,二元体系的产氢性能达到最高,为246.1μmolg-1 h-1。
在图3c中,在负载PdAg合金与CdS后,其最佳产氢性能高达3098.3 μmolg-1 h-1,提升倍数高达968倍。与CdS / g-C3N4和 PdAg/g-C3N4 相比,三元体系的最佳性能分别提高了12.6倍与5.3倍,这些均证明了三元体系的优越性。在图4a中,其量子效率可达9.6%,光能的利用率维持在较高的水平。

图4.

(a)在420nm的滤光片下,CdS / PdAg / g-C3N4复合光催化剂的产氢活性与量子效率。(b)CdS / PdAg / g-C3N4复合光催化剂的循环性能表征

要点3:探究光吸收范围变化,M-S测试研究能带位置

图5.

(a)纯g-C3N4,CdS纳米棒,CdS/g-C3N4 (CSCN)以及CdS/PdAg/g-C3N4(CSACN)样品的紫外可见漫反射光谱。(b)纯g-C3N4,CdS纳米棒的莫特-肖特基曲线。
通过紫外漫反射光谱(DRS),能够发现在负载CdS之后,体系中出现了两个吸收边缘,证明了CdS成功负载到g-C3N4上,并且提高了光吸收能力。
纯g-C3N4与CdS的吸收边缘分别为443nm和553nm, 根据经验公式,可得到两者的能带间隙分别为2.79eV与2.24eV,在M-S曲线中,可得两者的导带位置分别为-1.45V与-0.75V,根据 EVB, ECB和Eg之间的关系,可计算导带与价带的相对位置。

要点4:通过荧光谱图(PL)、电化学阻抗(EIS)、表面光电压(SPV)与电子自旋共振光谱(ESR)研究光生载流子分离效率变化

图6.

(a)总荧光光谱谱图(光激发波长为325nm)(b)纯石墨相氮化碳的瞬时荧光光谱谱图(c) 40wt.%CdS/4wt.%PdAg/g-C3N4 光催化剂的瞬时荧光光谱谱图
为了研究三元体系与纯g-C3N4 的载流子分离效率的变化,用荧光光谱(PL)表征性能最好的40 wt.% CdS/4 wt.% PdAg/g-C3N4复合光催化剂。在图6中,当激发波长为325 nm时,纯氮化碳在440 nm处的峰要远远高于40 wt.% CdS/4 wt.% PdAg/g-C3N4 三元复合光催化剂出现的峰。荧光光谱上显示的峰的高度与光生电子空穴对的复合率有着直接关系,强度越强也就意味着光生载流子的复合率更高,这一表征结果与实验结果吻合。

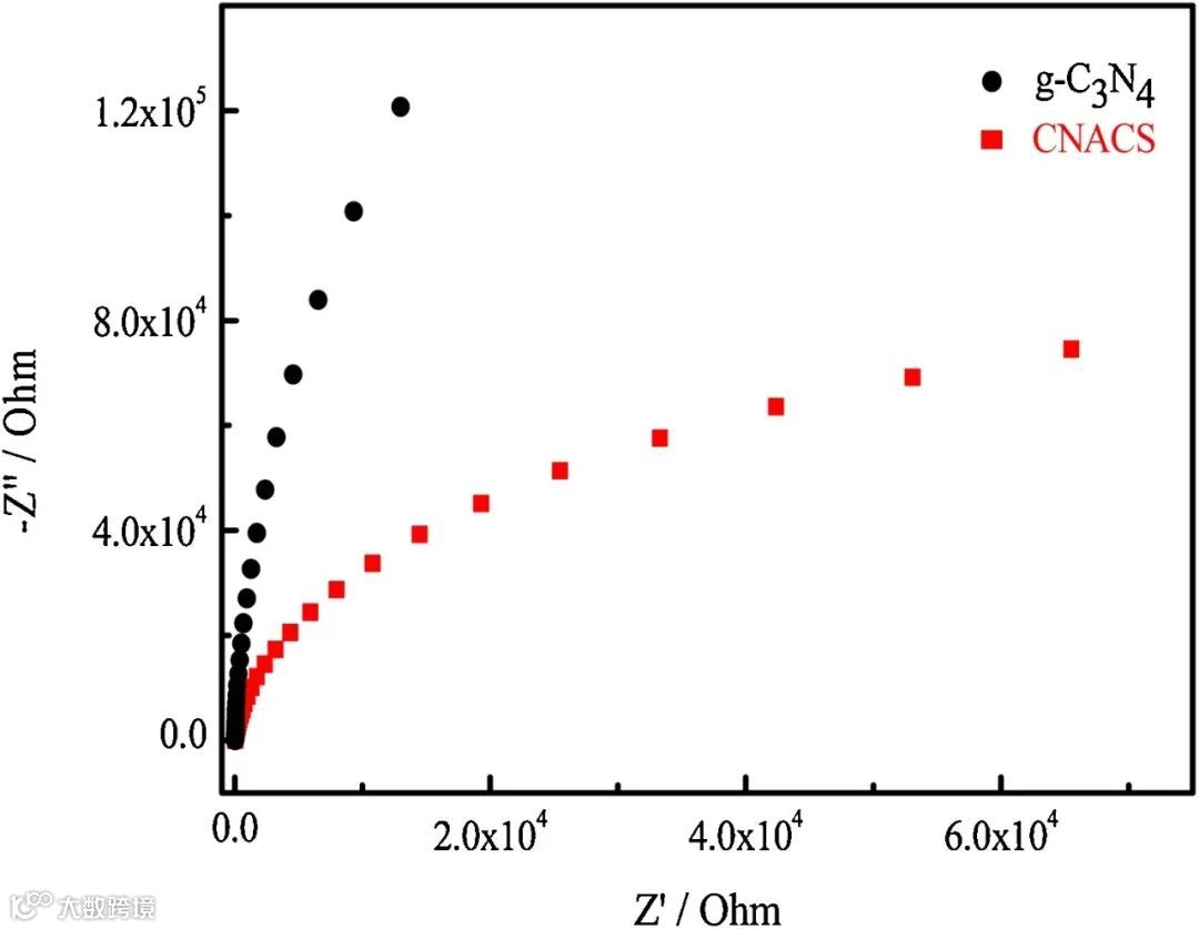
图7.

纯g-C3N4与CdS/PdAg/g-C3N4 (CSACN)的电化学阻抗谱
通过电化学阻抗谱进一步研究载流子迁移的电阻大小。图7中的曲线显示,纯g-C3N4 图谱中的半圆与X轴的交点比CdS/PdAg/g-C3N4 三元复合光催化剂中的更大,这意味着电荷载流子的迁移将遇到更大的阻力。与之相反,CdS/PdAg/g-C3N4三元复合光催化剂中的载流子迁移阻力更小,更容易发生光生载流子的迁移。这一结果作为有力的证据,证明了三元复合光催化剂具有更高的产氢效率,能够更有效的抑制光生电子空穴对的复合。

图8.

CdS/g-C3N4 (CSCN)与CdS/PdAg/g-C3N4 (CSACN)的表面光电压谱
接下来进一步探究PdAg合金对三元复合光催化剂的光生电子空穴对分离效率的影响,采用表面光电压对CdS/g-C3N4 与CdS/PdAg/g-C3N4进行表征,结果如图8所示。光电压响应范围主要集中在300 nm到550 nm之间,与之前的紫外可见漫反射光谱数据相吻合。与CdS/g-C3N4相比,CdS/PdAg/g-C3N4的光谱中具有强度更高的峰,进一步表明三元复合光催化剂的光生电子空穴对的分离效率更为高效。

图9.

(a),(b)和(c)的ESR光谱:纯g-C3N4 和CdS / PdAg / g-C3N4 (CSACN)光催化剂在室温时不同照射时间下的电子信号。(d),(e)和(f)的ESR光谱:纯g-C3N4 和CdS / PdAg / g-C3N4 (CSACN)光催化剂在室温时不同照射时间下的h +信号。
为了得到在光照下的载流子浓度变化,我们采用了电子自旋共振光谱(ESR)进行表征(图9),电子与空穴的高复合率严重限制了光催化剂的性能。(a)(b)(c)表征在黑暗状态下,光照5min后,光照10min后的电子清除剂信号强度变化,(d)(e)(f)表征在黑暗状态下,光照5min后,光照10min后的空穴清除剂信号强度变化。
由于载流子本身会与自由基清除剂发生反应,可以通过清除剂信号强度的变化,评估内部的载流子浓度。无论是电子清除剂还是空穴清除剂,三元复合体系的信号强度均有着明显的削弱,这便证明了三元复合体系中有着更多的载流子。
而g-C3N4的清除剂信号强度几乎不变,这是因为其内部的电子与空穴的复合率高,载流子浓度过低,无法与清除剂发生反应。

经过以上研究,最终得到机理图如下:

结论

在此工作中,我们通过化学沉积和水热法成功地合成了三元CdS / PdAg / g-C3N4复合光催化剂。通过X射线衍射表征,证明三元体系的成功合成。在透射电子显微镜下,能够清晰的观看到PdAg合金与CdS成功负载到g-C3N4纳米片上,其形貌与晶面间距均符合预期。当CdS和PdAg的含量分别为40 wt%和4 wt%时,制氢活性可以达到3098.3 μmolg-1 h-1,在420 nm下的表观量子产率(AQY)为9.6%。
通过ESR等表征方法,证实三元CdS / PdAg / g-C3N4复合光催化剂有着更强的光生电子-空穴对分离效率和电荷转移效率。这项工作为设计用于光催化生产H2的高效三元复合光催化剂提供了一条可行的途径。

文章链接

https://doi.org/10.1016/j.apcatb.2020.119509

通讯作者介绍

戈磊,中国石油大学(北京)新能源与材料学院,教授,博士生导师。
北京市科技新星。长期从事新型光催化功能材料的研究工作,主持及参与国家自然科学基金面上项目、北京市科技新星计划,教育部科学技术研究重点项目、国家重点研发计划、国家科技重大专项等多个课题的研究工作;在Applied Catalysis B Environmental, Journal of Materials Chemistry A, Carbon, ACS Applied Materials & Interfaces等国内外期刊上发表论文90余篇,SCI收录88篇,h指数37,论文被国内外研究人员正面引用6000余次,其中9篇论文入选ESI高被引论文,1篇论文入选ESI热点论文。

第一作者介绍

高健峰:中国石油大学(北京)新能源与材料学院硕士研究生,本科毕业于中国石油大学(北京)材料与科学工程专业,主要研究方向:新型光催化功能材料,在Applied Catalysis B Environmental,Chemical Engineering Journal期刊论发表论文2篇。


添加官方微信 进群交流

SCI二氧化碳互助群

SCI催化材料交流群

备注【姓名-机构-研究方向】

说明

🔹本文内容若存在版权问题,请联系我们及时处理。

🔹欢迎广大读者对本文进行转发宣传。

🔹《科学材料站》会不断提升自身水平,为读者分享更加优质的材料咨询,欢迎关注我们。

投稿请联系contact@scimaterials.cn

致谢

感谢本文作者对该报道的大力支持。

【声明】内容源于网络
0
0
科学材料站
内容 9163
粉丝 0
科学材料站
总阅读9.0k
粉丝0
内容9.2k