
[摘 要]长期高强度的煤炭开采和地下水抽采,导致淮北市地表发生大面积沉降,破坏了耕地以及生态环境,因此对地表沉降监测显得尤为重要。本文通过短基线集合成孔径雷达干涉测量(SBAS-InSAR)方法获取了2020年1月5日到2020年12月30日的淮北市地表年形变速率,并且使用水准数据对监测结果进行了精度验证。结果表明:淮北市沉降存在不均匀现象,年形变速率为-55~42 mm,淮北市地表沉降由地下煤炭资源开采和地下水抽采引起,主要地表沉降由采煤引起。研究结果可为地质灾害预防提供数据参考。
[关键词]差分合成孔径雷达干涉测量(D-InSAR);短基线集合成孔径雷达干涉测量(SBAS-InSAR);开采沉陷;地下水抽采;不均匀沉降
引言
随着我国工业的快速发展,地表沉降已经成为一种常见的地质灾害[1-2]。地面沉降是由于地表岩、土体等在自然或人为因素作用下向下陷落,并在地面形成塌陷坑(洞)的一种动力地质现象,并且它具有不可逆的特性。地表沉降作为一种地质灾害,它极大地危害了人民生命安全以及对城市建设带来了不利的影响。而对于淮北这座煤炭资源型城市,煤炭开采所带来的地质灾害将会更加严重,因此对地表沉降监测十分必要。传统的地表测量方法有精密水准测量、全站仪、全球导航卫星系统(global navigation satellite system,GNSS)测量等,传统的测量方法耗时耗力且受外界因素影响较大,对于大范围的地表沉降测量更加不适用[3-5]。
合成孔径雷达干涉测量(interferometric synthetic aperture radar,InSAR)技术是20 世纪兴起的一项大地测量技术,它能够全天时、全天候地对地表进行监测,能够提供大范围的监测数据[6-8]。朱建军等[9]总结出InSAR 变形监测在多维形变和低相干区测量、大气和轨道误差去除和精度评定等方面的前沿问题。杨梦诗等[10]分析了多种InSAR 数据集的成像以及时空分辨率的差异对沉降的影响,提出了多平台InSAR 数据联合的方法,该方法能够得到更精确的形变信息。张红忠等[11]将短基线集合成孔径雷达干涉测量(small baseline subset InSAR,SBAS-InSAR)技术应用到新疆水库的监测中,分析了沉降速率以及影响因素,表明了InSAR 技术应用的广泛性。陈有东等[12]应用SBAS-InSAR 技术和两幅高分一号卫星影像使用随机森林算法,获取了地表的形变速率以及土地的分类结果。张双成等[13]利用SBAS-InSAR 技术对南水北调中线区域地面沉降进行长时间序列监测,获得了较好的监测结果,分析了地下水开采对地面沉降的影响。
本文利用时序InSAR 技术对覆盖淮北的31景Sentinel-1A 影像数据进行处理,获得研究区的年形变速率,并分析其沉降的原因,为该地区地质灾害预防工作提供了一定的数据参考。
1 研究区概况和数据来源
1.1 研究区概况
淮北市是全国重要的资源型城市,2010 年原煤总产量达6 000余万吨,出口15个国家和地区,为中国的五大煤炭基地之一。然而长期煤炭资源被开采,地下产生大量采空区,破坏了岩体内部的应力平衡,导致上覆岩层弯曲破断,进而造成地表沉陷。地表沉陷是矿山常见灾害,它会对地表建筑物、道路等设施造成破坏。
1.2 数据来源
本文使用的是覆盖淮北地区的C波段的哨兵一号(Sentinel-1A)卫星影像数据,成像模式为干涉宽幅模式(interferometric wide swath,IW),重访周期为12 d,时间跨度为2020-01-05—2020-12-30,一共31 景,具体参数见表1。外部地形信息为SRTM 90 m 的数字高程模型(digital elevationmodel,DEM),用于去除地形相位的影响。获取了欧洲空间局发布的精密轨道数据(preci-sion orbit data,POD),以消除轨道相位引起的误差。
表1 数据源基本参数

注:①垂直发射垂直接收(vertical transmit,vertical receive,VV)。
2 SBAS-InSAR 技术原理与数据处理
2.1 技术原理
SBAS-InSAR 技术是以多主影像的干涉对为基础,基于高相干点恢复研究区域的时间序列形变信息,其原理如下:首先对覆盖某个地区的不同时间段的多景SAR 影像计算时间空间基线,选择恰当的时空基线阈值选取干涉对;然后对选取的干涉对进行差分干涉处理并进行相位解缠;最后根据自由组合的干涉图形成子集的情况,对所有干涉图组成相位方程采用最小二乘法或者奇异值分解(singlular value decomposition,SVD)方法进行形变参数的估计。
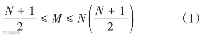
首先获取N+1 幅SAR 影像,影像时间序列设置为t0,t1,…,tN。然后选取一幅超级主影像,设置时间基线和空间基线阈值与其他所有影像进行干涉,可得到M 幅差分干涉图。M 的范围满足以下条件[14-15]。
![]()
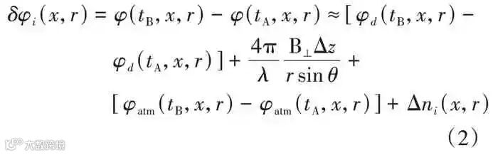
假设存在两个时间tA、tB,则他们之间第i 幅干涉图产生的干涉相位可表示为

式中,(x,r)为相干点的影像坐标;φ(tB,x,r)和φ(tA,x,r)为两幅SAR 影像上的相位值;λ 为波长;φd为雷达视线上该时刻的累积形变量;B⊥为垂直基线长;Δz 为高程误差;φatm为大气延迟引起的相位;r和θ分别为视线向斜距和入射角;Δni(x,r)为噪声相位。
根据式(2)在去除各项误差分量后,M 幅差分干涉图可以得到M个方程,用矩阵表示为
![]()
式中,A 是一个M×N 矩阵,M 行对应M 幅干涉图,N列对应N个时间的SAR影像。最后可以根据最小二乘法或者SVD求出形变速率。
2.2 数据处理
本文使用基于ENVI 软件中SARscape 对31景哨兵一号数据进行SBAS-InSAR 技术处理,获得淮北市2020 年形变速率结果。具体过程如下:
(1)数据预处理。将原始影像数据转换成SLC 格式,同时将轨道数据与卫星影像一一对应输入,然后进行裁剪获得我们所需要的研究区域。
(2)生成连接图。对输入的数据进行干涉像对的配对,输入 N 景数据,能得到的最大配对数是(N×(N-1))/2,生成连接图工具会选择最优的组合方式进行配对。这些像对会进行干涉工作流处理,然后用于SBAS 反演。这里最大临界基线百分比设置为2,最大时间基线设置为120 d,一共生成126 对干涉对,自动筛选出超级主影像为2020年7月3日。
(3)干涉工作流。这一步是对所有的配对的干涉像对进行干涉处理,相干性生成,去平、滤波和相位解缠,以及轨道精炼和重去平。由于区域面积较大,解缠相干性阈值设置为0.25,分解等级设置为2。
(4)反演。估算形变速率和残余地形,同时也会做二次解缠用来对输入的干涉图进行优化,然后进行定制的大气滤波,从而估算和去除大气相位,得到更加纯净的时间序列上的最终位移结果。
(5)地理编码。对SBAS 的结果进行地理编码,得到研究区地表视线向(line of sight,LOS)的年形变速率。
3 结果与分析
3.1 淮北市地表沉降结果分析
如图1 为通过哨兵1A 影像数据和SBASInSAR 技术获取的淮北市2020 年地表视线向的年形变速率,正值代表靠近卫星方向,负值代表远离卫星方向。由图1 可知,淮北市年形变速率为-55~42 mm,存在不均匀沉降现象,沉降区域分散,伴有几处明显的沉降,分别位于淮北市北部、南部以及西南方向。北部主要集中于相山区,最大下沉速率达到33 mm/a;而南部以及西南方向均位于濉溪县境内,该区域煤矿数量多,受开采影响大,最大沉降位于双堆集镇和南坪镇的交界处,最大沉降速率达到54 mm/a。图2(a)为矿区地下开采引起地表沉降及积水结果。然而,在矿区范围外仍有一部分区域存在其他较为明显的沉降,最大下沉速率达到27 mm/a,经现场调查发现因地下水抽采引起的地表沉降,如图2(b)所示。

图1 淮北市2020年地表沉降图

图2 淮北市采煤沉陷积水区和水井抽采区
3.2 精度验证
为了更好地验证SBAS-InSAR 结果的准确性,从SBAS-InSAR 沉降结果图中提取形变量与同时期水准实测数据进行比较分析。这里以淮北市中心湖带2020年1月12日至12月15日的实测水准数据(图3)与SBAS-InSAR 结果进行对比分析。其SBAS-InSAR 监测结果与水准数据对比如图4所示。

图3 水准点示意图

图4 SBAS-InSAR和水准数据对比
从图4可以看出,SBAS-InSAR 监测形变和水准观测值在对应监测点上的下沉值基本是相符合的,最大相对误差为13.3%,最小相对误差为3.4%,证明SBAS-InSAR 对监测地表形变有较高的精度。
3.3 淮北市地表沉降类型
为了更好地分析地面沉降的特征,选取两个典型的特征区域进行沉降分析。区域一为矿区开采区域,位于淮北市中心湖带,该区域位于13 个煤矿开采范围上,如图5 所示。区域二为地下水开采区域,位于濉溪县的经济开发区和濉芜产业园,四面皆有矿区,且位于沱河支流附近,如图6所示。

图5 矿区开采区域沉降图

图6 地下水开采区域沉降图
由于开采区域地下矿产资源丰富,大量的煤炭开采导致地表发生沉降,形成大面积的采煤沉陷区。2019 年,因采煤沉降的面积就已经达到235 km2,占淮北市总面积的8.6%。同时淮北矿区处于高潜水位地区,地表沉陷盆地,在大气降水、地表径流及地下水渗流的影响下,同时形成大面积沉陷区积水。然而水对雷达卫星发射的电磁波具有屏蔽作用,不能监测到水下信息,从图5 可以看出能够较好地监测出积水边界的沉降,验证了InSAR 技术监测的可行性。由于部分矿井已经关闭,因此对于地表沉降的影响较小。通过对淮北市关闭矿井的资料查找,A 煤矿于2017 年8 月底停产,而B 煤矿仍然在投产中。这一信息也与图5中矿区开采区域的南边沉降速率明显高于北边沉降速率这一特征相吻合,验证了InSAR监测的准确性。
从图1可看出,除了采煤引起的沉降外,在矿权范围外还可以看出有其他较为明显的沉降,如图6 所示。地下水开采区域由于煤矿的生产洗煤,居民用水,以及该地区存在大量的企业用水等,加上干旱季节地下水对于河流的补给,从而导致地下水位的进一步下降,发生地表沉降,是该地区发生沉降的主要原因。淮北市作为一个水资源不足的城市,人均水资源不足400 m3,导致地下水资源是淮北市供水的主要来源。经数据显示,淮北市地下水的供水量占总供水量的66%,而地表水仅占29%。而对地下水的开采,会导致地下水位下降,从而在含水层的水面上方出现空洞,使岩体陷入悬浮状态,随着时间的推移,会导致地表发生沉降。所以,地下水开采也是引起淮北市地表沉降的因素。
通过上述研究区地面沉降结果分析发现,淮北市地表下沉可以分为两种类型:一是矿区开采引起的地表下沉;二是地下水抽采引起的地表下沉。由淮北市2020年形变速率结果来看,采煤导致的最大沉降速率达到54 mm/a,地下水抽采引起的最大沉降速率达到27 mm/a。总体而言,导致淮北市发生沉降的主要因素为采煤沉降和地下水抽采沉降,其中采煤沉降占据大部分时空分布。
3.4 地表不同沉降类型的沉降时序特征分析
通过3.1 节的分析,淮北市地表沉降类型主要分为两种,采煤沉降和地下水抽采沉降。为了更好地反映不同沉降类型的沉降时序特征,在研究区内的采矿沉降区和抽水沉降区分别选取五个典型的特征点,对其地面形变的变化趋势进行了时间序列分析,如图7所示。

图7 不同类型的地面沉降的时间序列变化曲线
图7(a)为在采矿沉降区域内选取的五个特征点,对它进行的时间序列分析。该曲线表现为有起伏的持续沉降特征,并不是一直呈现沉降趋势,但最终沉降值较大,选取的5个点沉降量均处于20~50 mm。从曲线中可以看出,将沉降分为3 个时期,地表下沉前期,地下工作面初次采动,地下岩层移动变形逐渐发育到地表,地表下沉曲线从未下沉阶段逐渐平缓下沉;监测中期,下沉曲线开始呈现波动状态,沉降梯度变大,地表大部分下沉在该阶段形成;到监测后期曲线呈现变缓趋势,下沉量减小,进入到残余沉降阶段,最后形成沉降盆地。由于煤矿单独的工作面开采范围较小,形成的地表沉陷盆地也较小。
图7(b)中为在抽水沉降区域内选取的五个点进行的时间序列分析。通常地下水的开采表现为连续的长期性的开采,导致地下水位逐渐降低,形成降落漏斗,地表出现持续下沉。但相比较于采矿工作面的开采,它的沉降值小,沉降曲线较为平缓,但沉降范围广。从图7(b)中也可反映出这些特征,曲线平缓,沉降量小,选取的五个点均处于10~20 mm。表2 为两种类型的沉降特征对比。
表2 抽水沉降和采矿沉降两者之间区别

4 结束语
本文基于2020 年1 月5 日到2020 年12 月30日覆盖淮北市31景Sentinel-1A雷达影像数据,利用SBAS-InSAR 技术获得了2020 年淮北市地表沉降信息,分析了淮北市地表沉降时空分布特征,探讨了引起淮北市地表沉降主要因素,得出了以下结论:
(1)淮北市年形变速率为-55~42 mm,地面变形空间存在分布不均匀现象,存在多处明显的地面变形区域且沉降范围广。
(2)淮北市地表下沉可以分为两种类型,一种是矿区开采引起的地表下沉,另一种是地下水抽采引起的地表下沉,其中矿区开采引起的地表下沉占据大部分时空分布。2020 年淮北市采煤导致的最大沉降速率达到54 mm/a,地下水抽采引起的最大沉降速率达到27 mm/a。
(3)通过分析对采矿沉降和抽水沉降的时序特征,采矿导致的沉降量大,下沉速度更快,而抽水导致的沉降较小,曲线平缓,下沉速度慢。
建议下一步应加强研究区地下水水位、地面变形的监测分析,从而更加准确地分析地表形变特征与影响因素之间的相关性,为其沉陷区的治理和修复提供数据支撑。
参考文献
基于SBAS-InSAR技术的淮北市地表沉降监测分析
倪尔瑞1 张建新1 邱明剑2 权力奥1 朱晓峻2
(1. 安徽省第四测绘院,安徽 合肥 230031;2. 安徽大学资源与环境工程学院,安徽 合肥 230601)
引文格式:倪尔瑞,张建新,邱明剑,等. 基于SBAS-InSAR 技术的淮北市地表沉降监测分析[J]. 北京测绘,2024,38(3):312-317.
[基金项目]国家自然科学基金(51804001);安徽省自然科学基金(2308085ME149);安徽省高校自然科学研究重点项目(KJ2021A0080)
[作者简介]倪尔瑞(1981—),男,安徽合肥人,硕士,高级工程师,从事遥感与摄影测量工作。
E-mail:302838249@qq.com
[通信作者]朱晓峻,E-mail:zhuxiaojunahu@126.com
来源:北京测绘
授权转载公众号: 测绘学术资讯
- END -
天地图官网行政区划+全球矢量任意下载!路网、建筑、水系...
无人机航测从正射、三维建模到房屋、地形、立面采集技术流程(CC+EPS+CASS3D)
近500G航测和激光雷达数据集下载
利用ArcGIS确定一张照片的拍摄位置及方向
空域申请 | 无人机航测UOM系统合法飞行申请流程




