2026年3+证书即将公布!!
回顾往年数据,看看3+证书各分数层人数有多少

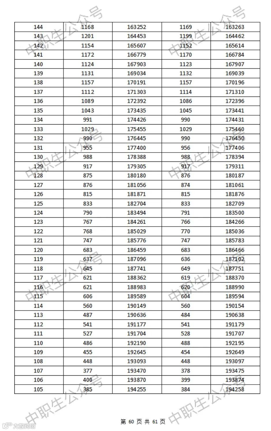
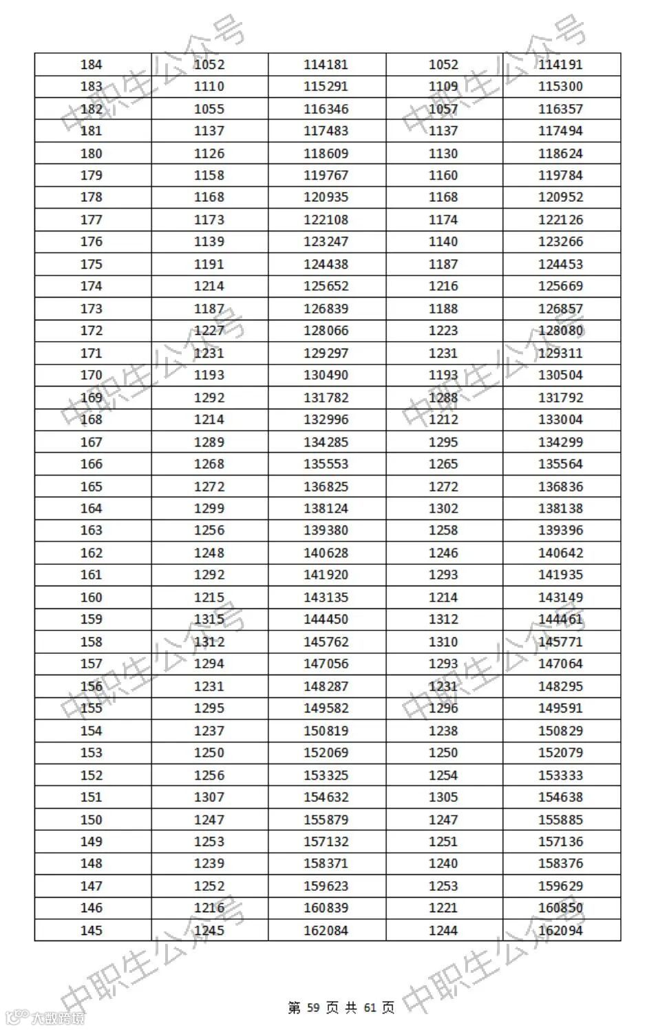
通过一分一段表,考生可以查到自己的高考成绩在全省考生中的排名,并大致了解到自己的“竞争”对手有多少。无论与去年相比控制线波动是否明显,考生都不能仅凭分数填报志愿,而且考生人数暴增的情况下,更加要充分利用“分段统计表”,以成绩排名作为填报参考。
2025年3+证书分数统计表
01
中高分段人数激增,考生成绩明显上移
249-200分:2025年44,478人(+16.3% vs 2024年38,235人)
299-250分:2025年32,430人(+43.0% vs 2024年22,690人)
349-300分:2025年16,127人(+38.8% vs 2024年11,617人)
450-400分:2025年仅67人(较2024年107人下降-37.4%),顶尖考生减少。
02
低分段人数锐减,考生整体水平提升
99-80分:2025年4,336人(较2024年5,454人下降-20.5%)
149-100分:2025年39,965人(较2024年50,976人下降-21.6%)
解读:专科分数线从115分提高到120分,淘汰了部分低分考生。
03
分数分布呈现“中间膨胀,两端收缩”
中高分段(249-350分)占比:从2024年34.3%升至2025年46.4%,成为主力竞争区间。
低分段(≤149分)占比:从2024年29.2%降至2025年22.1%,考生两极分化缓解。
招生计划分析
01
上线人数与上线率
2025年:120分上线186,459人 → 录取率62.9%(117,289/186,459)
2024年:115分上线178,693人 → 录取率67.6%(120,819/178,693)
解读:2025年考生数增加、计划缩减,录取率下降近5%,竞争显著加剧。
02
专科分数线提高,低分段考生压力加大
专科线:从2024年115分提高至2025年120分,直接导致:
120分上线人数:2025年186,459人(较2024年115分上线178,693人增加+4.3%)
分数线边缘考生:2025年120分以下13,727人(2024年115分以下14,125人),淘汰人数基本持平。
3. 本科线保持稳定,但高分段竞争白热化
本科线:连续两年为260分,但300分以上考生从2024年16,040人增至2025年20,959人(+30.7%),优质学位争夺更激烈

更多内容请关注公众号查看
声明:文章内容来源于网络,本公众号转载的文章仅作学习分享,不代表本公众号观点,文章版权及插图属于原作者。如果分享内容在版权上存在争议,请与我们联系,我们会及时处理。
请在后台回复关键字:
▶回复教材:查看3+证书复习必备资料
▶回复分数:查看各大院校近年录取分数线
▶回复大学:查看招收中职生的大学名单
▶回复真题:查看高职高考近年语数英真题
▶回复目录:查看或征订招生专业目录
▶回复证书:查看符合报名高职高考的证书
▶回复报名:查看中职生参加高职高考方法
来个“分享、点赞、在看”👇
与你美好的事情即将发


