
关于教师资格证考试
总有同学问小编:
“听说教师资格证考试通过率很低是嘛”
“听说教师资格证考试要卡通过率是嘛”
......
这些小编光是回答你们
肯定是没什么说服力
那么今天我们通过数据来说说:
教师资格证考试
1. 首先,我们以2016 年为分水岭,我们把教师资格证考试分为新教师资格证“国考” (国家级,2016 年及以后) 和旧教师资格证考试 (省级,2015 年及以前),教考改革前后对比:

2. 然后我们来看看2017年下半年全国的教师资格证考试情况:

3. 而其实,2017上半年的教师资格证考试通过率更低:

4. 由以上省份的笔试通过率也可推测出:全国的笔试通过率大概在20%~30%。

这么低的通过率,是不是想唱一首凉凉
~

那这是为什么呢?
这是因为:教师资格考试改为国考后,公平被凸显,含金量明显上升。同时,国家对教师需求增多,
因此报名人数随之上涨,考试难度越来越难,造成通过率变低。
1
教师资格笔试各科目卷面满分为150分,按照我们从小到大的逻辑应该是90分就可以合格了。但为什么查询成绩时满分又是120分呢?70分合格又是怎么算出来的呢?
2
教育部考试中心根据考试标准和当次考试情况,确定各科目全国统一的合格分数线。由于各个科目难度存在差异,其合格分数线不尽相同。为统一各科目的合格分数线,采用线性转换的方法,将这些考生0~150分量表上的原始成绩换算为0~120分量表上的转换分,并使各科目的合格分数线统一转换为70分。
3
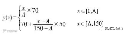
分数转换方法如下:设某科目原始成绩合格分数线为 A(0<A<150),若考生在该科目的原始成绩为x(0≤x≤150),则转换分y(x)(0≤y(x)≤120)的计算公式为:

4
举例来说,设两个科目的合格分数线分别为 A1和 A2,则转换分 y(x) 关于原始成绩x的函数图像,如下图所示:

5
通过上述线性转换,各科目的合格分数线均转换为70分,且转换不改变考生成绩的高低顺序。原始成绩低于合格分数线的考生,换算后的转换分在70分以下;原始成绩高于合格分数线的考生,换算后的转换分在70分以上。

1
公式中的A代表某科目的分数线,x代表了你的卷面成绩,y(x)代表你转换后的分数(也就是你能查到的分数),另外70的含义是报告合格分70分,150是报告满分150分。
2
假设分数线A是90分,换算之后有三种情况:
1、如果你的卷面成绩是100分,属于[90,150]区间,用下面的公式来计算,得出来的报告分(y)就是78.33,高于70分,你的本科目笔试合格。
2、如果你的卷面成绩是88分,属于[0,90]区间,采用上面的公式来计算,得出来的报告分(y)是68.44,低于70分,你的本科目笔试不合格。
3、如果你的卷面成绩是90分,分数线A也是90分,上面和下面的公式都能用,算出来的报告分是70分,你的本科目笔试成绩合格。
好了好了,今天就讲到这里了!
你还想知道教师资格证的其他信息吗?
教师资格证《综合素质》考高分秘籍?
非师范生到底能不能考教师资格证?
18年下半年教师资格证考试时间?
通过率这么低,同学们还是赶紧看书复习吧!
↓↓↓
