生物碱millingtonine是由日本科学家Yamasaki团队于1996年从印度软木树中分离得到的,分离出来时便是一对非对映异构体混合物,具有全新的骨架。从结构来看,抛开糖苷,其余碳环骨架可以看作是两个从莽草酸衍生的C6C2单元通过一个从鸟氨酸衍生的C4N单元连接在一起形成的(Scheme 1)。但目前还没有可能的生源合成假说报道,包括在分离文献中,也没有提及这样一个C4N单元插入到两个C6C2单元的机理。

Scheme 1. 图片来源:Wiley
2012年,Ley、Kirschning和Baxendale曾经合作完成了millingtonine的全合成,从已知化合物出发,总共用了12步,以6.2%的总收率制备了毫克级的最终产品。但是,这一路线中几乎每一步的中间体都极易发生重排反应,给合成造成了诸多不便。如果能从生源合成假说中得到启发,则有可能发展一种全新的、步骤经济性的合成策略来高效地合成生物碱millingtonine。
英国爱丁堡大学化学系的Andrew L. Lawrence团队正是基于这样的考虑,从生源合成假说中得到启发,利用仿生合成的策略,7步高效地完成了millingtonin的全合成,并且合成出了可能的天然产物dia-Millingtonin,以预测甚至指导天然产物的分离。(Total Synthesis of Millingtonine. Angew. Chem. Int. Ed., 2016, DOI: 10.1002/anie.201602869)

Scheme 2. 图片来源:Wiley
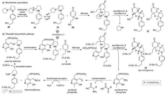
在Lawrence的设想中,从简单的二胺化合物2出发,经由不同的官能团化,则可以实现一系列天然产物的合成。例如二胺化合物2从途径1出发,氧化脱芳构化形成亚胺化合物8,水解得到化合物3,分子内Michael再二聚就可以得到rengyolone (4)、incarviditone (5)、incarvilleatone (6)等天然产物。而从途径2出发,即氧化去胺化,再脱水则得到化合物10,二聚后得到天然产物incargranine B (7)。而化合物3和10发生Michael反应后再氧Michael则有可能得到天然产物millingtonine。
有了这样的生源合成假说,在前期类似骨架仿生合成的基础上,Lawrence团队开始了对天然产物millingtonine的仿生合成。从商品化原料4-胺基-苯乙醇出发,采用对酸不稳定的Boc保护胺基,进而羟基和化合物20在Lewis酸TMSOTf的条件下,生成β-糖苷键,同时脱去了Boc保护基得到化合物22,两步可以实现克级规模制备。化合物22和Z式1,4-二氯-2-丁烯反应生成二氢吡咯化合物23,在商品化催化剂RhHCO(PPh3)4的作用下,23和四氢吡咯反应得到化合物26,进而和化合物25发生交叉二聚(crossed-dimerization)得到cis, syn, cis的二聚体27,同时也生成了14%的自身二聚体、反式的19和顺式的30。三氟乙酸作用下,cis,syn,cis的化合物27经逆oxa-Mannich/亚胺异构化/oxa-Mannich反应得到cis,anti,cis并环方式的化合物28,最后碱性条件下脱去糖上的Piv保护基,便以最长线性7步就实现了天然产物millingtonine的仿生合成,并且可以得到50 mg最终产品,整体路线非常的简洁高效。
图片来源:Wiley
对于这条仿生合成中的关键反应化合物26和25的交叉二聚crossed-dimerization,作者也给出了可能的机理,并认为这可能是对于植物体内的维生素B6的辅酶的模仿。同时按照可能的生源合成路径合成了cis,syn,cis并环方式的化合物33,命名为dia-millingtonine,这是对于未分离到的可能天然产物的一种预测。

图片来源:Wiley
总之,Lawrence团队通过对于millingtonine的仿生合成,探究了他们提出的生源合成假说的可能性,并为苯乙醇类系列天然产物的仿生合成路径提供了有力的支持,合成出了可能存在的天然产物dia-millingtonine。不同于之前的合成套路——先分离鉴定出天然产物再去合成,本文根据生源合成假说,合成出了可能存在的天然产物,这种预测有可能指导天然产物的分离。
http://onlinelibrary.wiley.com/doi/10.1002/anie.201602869/abstract


