在化学学科发展的很长一段时间内,三配位的第13族化合物均被认为是路易斯酸(e.g. BCl3, AlCl3, GaCl3)。甚至在教科书里,第一次学习路易斯酸碱的概念时,三配位的硼原子由于具有一个空的p轨道可以接收外来电子对,所以被介绍为典型的路易斯酸(Figure 1a)。而三配位的第15族化合物(e.g. NH3, PCl3),则由于其具有孤对电子,被介绍为典型的路易斯碱(Figure 1b)。

Figure 1. (a) 路易斯酸BR3, (b) 路易斯碱NR3
然而,聪明的化学家们总是想打破常规。在2011年,加州大学圣地亚哥分校的Bertrand教授报道了第一例路易斯碱性的三配位硼A(Figure 2a, Science, 2011, 333, 610-613)。在A的晶体结构中,硼原子和普通的三配位硼一样,具有一个平面三角形的构型(Figure 2b)。但是,由于硼原子周围特殊的卡宾配体,导致该化合物具有更多的共振形式(Figure 2c),从而具备反常的电子性质。

Figure 2. (a) 路易斯碱性的三配位硼A, (b) A的晶体结构, (c) A的主要共振结构
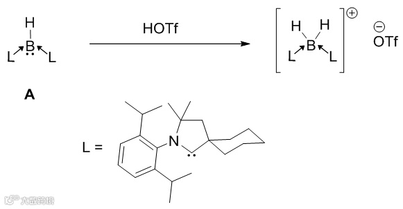
比如,向A中加入三氟甲磺酸(HOTf),A会被质子化,生成相应的盐(Figure 3)。这一反应充分的验证了A的路易斯碱性,打破了从中学到大学阶段教科书里对三配位硼的描述。美中不足的是,化合物A由于其周围位阻很大的卡宾配体,导致其中心硼原子很难与其他试剂发生反应(e.g. 对MeOTf无反应活性)。

Figure 3. A的质子化反应
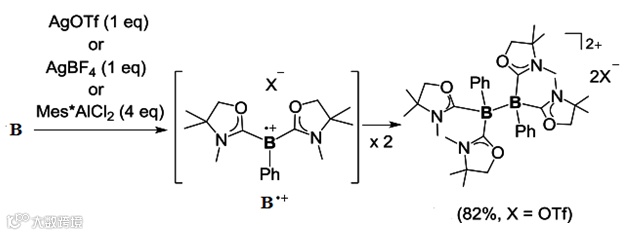
然而,在2014年,新加坡南阳理工大学的Kinjo教授成功制备了小位阻的路易斯碱性的硼类化合物B(Figure 4a, Angew. Chem. Int. Ed., 2014, 53, 9280-9283; Chem. Sci., 2015, 6, 2893-2902)。化合物B不仅可以和HOTf发生化学反应,也可以与过渡金属发生配位作用(Figure 4b)。这些实验事实说明这一类三配位的硼类化合物可以作为胺类化合物的等电子体(e.g. Et3N, Ph3P)。

Figure 4. (a) 小位阻的路易斯碱性的三配位硼B, (b) B的反应活性(部分图片来自Angew)
最新的研究表明(Figure 5, J. Am. Chem. Soc., 2016, DOI: 10.1021/jacs.6b04858),化合物B还可以被氧化,生成相应的不稳定阳离子自由基,随后发生二聚来构建罕见的Bsp3-Bsp3键。

Figure 5. B的单电子氧化反应
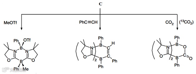
在2015年,Kinjo课题组设计合成了化合物C(Figure 6, Nat. Commun., 2015, 6, 7340)。该化合物同时具有传统上的路易斯酸性的三配位硼原子和打破常规的三配位路易斯碱性的硼原子,并且由于环张力的作用,使它们之间不能发生配位作用,从而显示出受阻路易斯酸碱对(Frustrated Lewis Pair, FLP)的反应活性。初步的研究表明,C可以和MeOTf、苯乙炔以及二氧化碳发生化学反应,生成相应的加合物(Figure 7)。

Figure 6. 化合物C以及其主要共振式

Figure 7. 化合物C的反应活性。图片来源:Nat. Commun.
厦门大学的赵玉芬、朱军教授也对化合物C进行了系统的理论分析,利用轨道重叠和电荷分布解释了C与上述化合物反应的高选择性(Figure 8, J. Org. Chem., 2015, 80, 8790-8795)。并且对化合物C的活性进行了理论预测。非常有意思的是,其中对于C和烯烃的可逆反应的理论预测,也在2015年末被实验验证(Chem. Sci., 2015, 6, 7150-7155)。

Figure 8. 化合物C的理论研究。图片来源JOC
至此,选用合适的配体,三配位电中性的硼原子可以作为胺和膦的等电子体。事实上,近年来对亲核性的硼试剂的研究已经进入高潮。笔者也对该类主族化学的发展寄予厚望,并且会在将来详细介绍最近的原创性工作。
Kinjo教授课题组简介:http://www.ntu.edu.sg/home/rkinjo/index.html
(本文由chemliu供稿)


