有机合成一代宗师K. C. Nicolaou教授不仅是伟大的化学家(点击阅读详细),也是真正“桃李满天下”的教育家。他与中国有很深的缘分,曾多次到中国讲学,目前是重庆大学药学院创新药物研究中心的兼职教授,他的课题组里也一直有华人弟子的身影。在Nicolaou教授那些天然产物全合成以及新合成方法学等精彩工作的论文作者名单中,华人弟子的名字也频频出现。下面,作为向Nicolaou教授七十大寿致敬的一部分,X-MOL团队按时间顺序简要介绍老先生的这些华人弟子。(由于时间仓促,团队人力有限,如果有遗漏或者不准确的地方,欢迎大家批评指正、补充完善)

讲学中的K. C. Nicolaou教授
K. C. Nicolaou教授部分华人弟子
戴伟民教授
戴伟民教授,香港科技大学化学系教授,2003年起还担任浙江大学化学系长江特聘教授。曾于1990-1992年在美国斯克里普斯研究所(The Scripps Research Institute)K. C. Nicolaou课题组做博士后研究。期间,参与了Taxol的合成研究和烯二炔enediyne类天然产物的合成及生物活性研究。在Science、J. Am. Chem. Soc.、Angew. Chem.等刊物发表论文11篇,申请美国专利3项。其中有关“烯二炔抗癌抗生素的化学和生物学”(Science, 1992, 256, 1172-1178)及“紫杉醇的化学和生物学”(Angew. Chem. Int. Ed., 1994, 33, 15-44)两篇综述,至今已被引用一千多次。

设计并合成烯二炔类化合物
Nicolaou, K. C.; Dai, W.-M.; et al. J. Am. Chem. Soc., 1992, 114, 8908-8921
戴伟民教授课题组研究兴趣主要是不对称催化、多样性的天然产物全合成(代表性工作:Angew. Chem. Int. Ed., 2006, 45, 7255-7258; Org. Lett., 2007, 9, 2585-2588; Chem. Eur. J., 2010, 16, 11530-11534等等)。
课题组主页(香港科技大学):http://ihome.ust.hk/~chdai/wmdai.html
杨震教授
杨震教授,长江学者,北京大学化学与分子工程学院教授,同时担任北京大学深圳研究院化学生物学与生物技术学院院长。1992-1995年在斯克里普斯研究所跟随K. C. Nicolaou教授做博士后研究。
杨震教授在K. C. Nicolaou课题组的主要工作包括复杂天然产物紫杉醇(Taxol)的全合成(Nature, 1994, 367, 630)、Brevetoxin A的全合成(Nature, 1998, 392, 264)以及Epothilone A的全合成(Nature, 1997, 387, 268)。
Nicolaou教授发表了一千四百多篇科研论文,而紫杉醇全合成工作是老先生自己心目中的Top 5文章之一,由此也能看出这项工作的重要性。

K. C. Nicolaou课题组的Taxol合成团队
Nicolaou课题组的Taxol合成策略如下(Nature, 1994, 367, 630):通过DA反应构建了A环和C环两个六元环,然后先通过Shapiro反应连接AC两个片段,最后通过MuMurry反应关上八元环。这是一则非常精彩的全合成,是K. C. Nicolaou教授的经典作品之一,也是杨震教授的成名作之一,被收入Nicolaou教授所著的Classics in Total Synthesis I一书中。

Brevetoxin A的全合成中发展并使用了许多构建中环体系环醚的反应(Nature, 1998, 392, 264)。而Epothilone A的全合成中用了RCM反应构建大环体系(那时候烯烃复分解反应还没有获得诺贝尔奖),这也为后来大环内酯或者大环内酰胺的构建提供了方法,并且用到了固相合成和组合化学,这对多样性合成和生物活性筛选具有重要意义。

Brevetoxin A的全合成


Yang, Z.; He, Y.; Vourloumis, D.; Vallberg, H.; Nicolaou, K. C. Angew. Chem. Int. Ed., 1997, 36, 166-168
杨震教授2001回国后的工作包括有机合成方法学的研究、复杂天然产物全合成以及化学生物学等。开发的方法学包括:硫脲-钴催化的Pauson-Khand反应、硫脲-钯催化的羰基插入成环反应、金催化的重排反应、铑催化的构建邻位季碳的反应等等。代表性全合成工作包括:以DA反应为关键反应的Caribenol A的不对称全合成(J. Am. Chem. Soc., 2010, 132, 13608);以DA反应、卡宾催化的氧氢插入反应等为关键反应的Maoecrystal V的全合成(J. Am. Chem. Soc., 2010, 132, 16745);以DA反应、RCM反应、Pauson-Khand反应等为关键反应的五味子降三萜类天然产物全合成(Angew. Chem. Int. Ed., 2011, 50, 7373);以Pauson-Khand反应等为关键反应合成Pentalenolactone A Methyl Ester(Angew. Chem. Int. Ed., 2012, 51, 12072)以及Fusarisetin A(Org. Lett., 2012, 51, 12072);以串联RCM反应为关键反应合成(‒)-Flueggine A和(+)-Virosaine B(Angew. Chem. Int. Ed., 2013, 52, 620)等数十个复杂天然产物的全合成。(相关阅读一、相关阅读二)
杨震教授:http://www.x-mol.com/university/faculty/8607
课题组主页:
北大化学院http://www.chem.pku.edu.cn/zyang/index.asp
深圳研究生院http://web.pkusz.edu.cn/yang
贺耘教授
贺耘教授,重庆大学创新药物研究中心主任,曾任保诺科技(北京)有限公司高级副总裁和首席科学官、罗氏研发中心(中国)有限公司药物化学高级总监、(美国)诺华研究基金会基因研究所药物化学副总监。1995-2000年在斯克里普斯研究所师从K. C. Nicolaou教授从事复杂天然产物epothilone和CP分子的全合成及活性研究,以烯烃复分解反应为关键反应合成epothilone系列天然产物(Angew. Chem. Int. Ed., 1997, 36, 166-168.; J. Am. Chem. Soc., 1997, 119, 7960-7973)。
贺耘教授的研究兴趣是新药发现。研究课题包括药物设计与合成,活性天然产物的全合成与结构修饰及计算机辅助药物设计。贺耘教授领导参与了数十项创新药物研发项目,为创新药物开发成功贡献了近10个临床药物(1.1类新药,I、II和III期)及更多的临床前药物。
贺耘教授:http://www.x-mol.com/university/faculty/18606
课题组主页:http://www.iddts.com/
Zhendong Jin副教授
Zhendong Jin博士现为爱荷华大学(University of Iowa)药学院副教授,1996-1997年在斯克里普斯研究所跟随K. C. Nicolaou教授做博士后。独立工作后,主要研究方向是活性天然产物及其类似物的合成、小分子化合物库的合成及抗癌新药的研发(代表性工作:J. Am. Chem. Soc., 2001, 123, 3369.; J. Am. Chem. Soc., 2003, 124, 6576; Org. Lett., 2011, 13, 3580; Angew. Chem. Int. Ed., 2013, 52, 3446等等)。
课题组主页:http://pharmacy.uiowa.edu/directory/person/zhendong-jin
David Yu-Kai Chen教授
David Yu-Kai Chen博士目前是韩国首尔大学化学系教授。2001-2005年在斯克里普斯研究所K. C. Nicolaou教授课题组做博士后,期间主要工作是Diazonamide A的全合成和生物活性研究(J. Am. Chem. Soc., 2004, 126, 12888-12896)以及Azaspiracid-1的全合成(Angew. Chem. Int. Ed., 2003, 42, 3649-3653)。

Diazonamide A的首例全合成及结构修正
2005-2011年,David Yu-Kai Chen博士在新加坡科技研究局做研究,协助K. C. Nicolaou教授管理实验室和推进科学研究,期间作为共同通讯作者发表了许多优秀的文章。2011年,进入首尔大学化学系担任教职。课题组研究方向为天然产物全合成(代表性工作:Org. Lett., 2011, 13, 5724-5727; Chem. Soc. Rev., 2012, 41, 4631-4642; Angew. Chem. Int. Ed., 2014, 53, 924-926等等)。
课题组主页:http://dykchenlab.snu.ac.kr/
顼昊(Hao Xu)教授
顼昊博士目前任乔治亚州立大学(Georgia State University)化学系教授。2001-2006年在斯克里普斯研究所K. C. Nicolaou 教授课题组读博士,期间主要工作是以多次Claisen重排反应、串联的Claisen重排反应/分子内DA反应完成具有笼状骨架的复杂天然产物1-O-Methyllateriflorone的全合成(Angew. Chem. Int. Ed., 2003, 42, 4225; J. Am. Chem. Soc., 2004, 126, 5493)。另外还基于仿生合成策略,利用类似的Claisen重排反应、串联的Claisen重排反应/分子内DA反应完成了Gambogin的全合成(Angew. Chem. Int. Ed., 2005, 44, 756)。

1-O-Methyllateriflorone的全合成

Gambogin的全合成
目前顼昊课题组的主要代表性工作是铁催化的烯烃官能团化反应(J. Am. Chem. Soc., 2013, 135, 3343; J. Am. Chem. Soc., 2014, 136, 13186; Angew. Chem. Int. Ed., 2016, 55, 534等等)。
汤文军研究员
汤文军博士,中科院上海有机所研究员,“青年千人”。2003-2005年在美国斯克里普斯研究所师从K. C. Nicolaou教授从事博士后研究,主要工作是vannusal A的合成研究,以三组分串联的不对称1,4-加成/Aldol反应等为关键反应构建了vannusal A的螺环骨架(Angew. Chem. Int. Ed., 2005, 44, 3874-3879)。

vannusal A的螺环骨架的构建
2011年7月进入上海有机所,目前主要研究领域是对具有重要生理活性的复杂天然产物的全合成,发展高效、经济、绿色的药物新工艺,以及高效、实用、绿色的催化反应方法学(代表性工作:Angew. Chem. Int. Ed., 2013, 52, 4235-4238; J. Am. Chem. Soc., 2014, 136 , 570-573; Angew. Chem. Int. Ed., 2015, 54, 2520-2524; Angew. Chem. Int. Ed., 2015, 54, 3792-3796; Angew. Chem. Int. Ed., 2015, 54, 3033-3037; J. Am. Chem. Soc., 2015, 137, 6746-6749; Angew. Chem. Int. Ed., 2016, 55, 4527-4531; Angew. Chem. Int. Ed., 2016, 55, 5044-5048; J. Am. Chem. Soc., 2016, 138, 10774-10777)。
汤文军研究员:http://www.x-mol.com/university/faculty/15573
课题组主页:http://wenjuntang.sioc.ac.cn
李昂研究员
李昂博士,中科院上海有机所研究员。2004-2009年在斯克里普斯研究所跟随K. C. Nicolaou读博士,随后在K. C. Nicolaou新加坡实验室做一年博士后。博士期间主要工作是复杂天然产物Platensimycin及相关天然产物的全合成(Angew. Chem. Int. Ed., 2006, 45, 7086-7090.; J. Am. Chem. Soc., 2009, 131, 16905-16918)。

Platensimycin的首例全合成
值得一提的是,这是Platensimycin分离鉴定后仅仅四个月后就完成的首例全合成,其关键反应包括以钌催化的烯炔环化异构化反应、二碘化钐介导的自由基串联环化反应/成醚反应构建笼状骨架,以烯烃交叉复分解反应和酰胺键形成反应等完成了全合成。
另一个代表性的工作就是α- and β-Diversonolic Esters 的全合成及结构修正以及Diversonol和Blennolide C的全合成(Angew. Chem. Int. Ed., 2008, 47, 6579-6582)。

α- and β-Diversonolic Esters 的全合成及结构修正
李昂研究员2010年回国进入中科院上海有机所工作,研究方向以复杂天然产物全合成为主,代表性工作包括:以分子内DA反应、Dieckmann反应等为关键步骤完成(-)-fusarisetin A的首例全合成及绝对构型的修正(J. Am. Chem. Soc., 2012, 134, 920-923);以6Π电环化/氧化芳构化为关键步骤的全合成(Nature Chem., 2013, 5, 679-684; J. Am. Chem. Soc., 2014, 136, 16477-16480; Angew. Chem. Int. Ed., 2016, 55, 6964-6968等);吲哚萜类生物碱的全合成(Angew. Chem. Int. Ed., 2014, 53, 13840-13844; J. Am. Chem. Soc., 2015, 137, 13764-13767; J. Am. Chem. Soc., 2016, 138, 3982-3985等等)。
李昂研究员:http://www.x-mol.com/university/faculty/15572
课题组主页:http://angligroup.sioc.ac.cn/index.asp
唐叶峰研究员
唐叶峰博士,清华大学药学院研究员。2006-2009年在斯克里普斯研究所跟随K. C. Nicolaou教授做博士后研究。博士后期间代表性工作是Carbaplatensimycin的全合成(J. Am. Chem. Soc., 2007, 129, 14850-14851)和Sporolide B的首例全合成(Angew. Chem. Int. Ed., 2009, 48, 3449-3453; J. Am. Chem. Soc., 2010, 132, 11350-11363)。

Sporolide B的首例全合成
关于Sporolide B的全合成工作被收录在Nicolaou教授所著的Classics in Total Synthesis III中。其关键步骤包括钌催化的[2+2+2]反应构建多取代的苯环、邻苯醌的[4+2]环加成反应等。
回国开展工作后唐叶峰研究员的代表性工作包括以Dyotropic重排反应为基础,结合仿生合成策略,完成了多个不同家族天然产物的多样性合成,如苍耳烷型倍半萜、百部类生物碱和细胞松弛素类天然产物的多样性合成;亚胺铑卡宾介导的一系列环加成反应(Angew. Chem. Int. Ed., 2012, 51, 6984-6988; Angew. Chem. Int. Ed., 2013, 52, 4198-4202; Angew. Chem. Int. Ed., 2014, 53, 5662-5666; Angew. Chem. Int. Ed., 2014, 53, 14494-14498; Angew. Chem. Int. Ed., 2016, 55, 6992-6996等,点击阅读相关)。
唐叶峰研究员:http://www.x-mol.com/university/faculty/17925
课题组简介:http://www.sps.tsinghua.edu.cn/cn/team/team/2016/0704/9.html
彭小水副教授
彭小水博士,香港中文大学化学系副教授,黄乃正院士的助手。2006-2008年在新加坡科学研究局K. C. Nicolaou教授课题组从事博士后研究,主要工作是明星分子Cortistatin A及其类似物的不对称全合成和生物活性研究,关键反应为串联的1,4-加成/Aldol/脱水反应(Angew. Chem. Int. Ed., 2008, 47, 7310-7313; J. Am. Chem. Soc., 2009, 131, 10587-10597)。

Cortistatin A及其类似物的不对称全合成
彭小水博士2009年加入香港中文大学化学系,研究方向包括运用“生物启发”策略与方法合成结构复杂和具有生物活性的天然产物(Org. Lett., 2011, 13, 2940-2943; Chem. Commun., 2012, 48, 8517-8519等等)。
课题组主页:http://www.cuhk.edu.hk/chem/en/people/academic/pxs/index.html
姜雪峰教授
姜雪峰博士,华东师范大学化学系教授。2008-2011在斯克里普斯研究所跟随K. C. Nicolaou教授做博士后研究。期间主要工作是Monorhizopodin和16-epi-Monorhizopodin的全合成及生物活性研究(Angew. Chem. Int. Ed., 2011‚ 50‚ 1139-1144),Nature Chemical Biology还对该工作进行了专题报道(Nat. Chem. Biol., 2011, 7, 128-129)。合成策略如图所示,以Stille偶联反应、二碘化钐介导的Barbier反应、HWE反应及大环内酯化反应为关键步骤,合成了Monorhizopodin和16-epi-Monorhizopodin。


Monorhizopodin和16-epi-Monorhizopodin的全合成
姜雪峰博士2011年9月加入华东师大化学系,研究方向包括新方法导向复杂生理活性天然产物全合成研究。代表性工作包括含硫化合物的化学、碳硫键的形成(Angew. Chem. Int. Ed., 2012, 51, 12570-12574; Org. Lett., 2014‚ 16‚ 4400-4403; Chem. Commun., 2015, 51, 10295-10298; Org. Lett., 2016, 18, 340-343; Angew. Chem. Int. Ed., 2016, 55, 14121-14125),以及配体调控多样性合成(Angew. Chem. Int. Ed., 2015, 54, 14960-14964.; J. Am. Chem. Soc., 2016, 138, 5218-5221等)。(相关报道一、报道二、报道三、报道四、报道五)
姜雪峰教授:http://www.x-mol.com/university/faculty/10557
课题组主页:http://faculty.ecnu.edu.cn/s/641/main.jspy
杨俊教授
杨俊博士,陕西师范大学化学系教授。2008年9月-2011年11月在美国斯克里普斯研究所担任助理研究员,从事天然产物合成与G-蛋白偶联受体药物研究,合作导师分别为K. C. Nicolaou 教授和Ed. Roberts教授,期间申请6项美国新药发明专利。
杨俊教授博士毕业于四川大学,博士期间代表性工作是Communesin F的全合成(J. Am. Chem. Soc., 2007, 129, 13794-13795)。
杨俊教授:http://www.x-mol.com/university/faculty/12354
丁寒锋教授
丁寒锋博士,浙江大学化学系教授。2008-2011年在K. C. Nicolaou和David Y.-K. Chen教授的指导下在新加坡科技研究局做博士后。博士后期间主要工作是以分子内铑催化的环丙烷化反应和二碘化钐介导的关环反应完成了复杂天然产物Echinopines A和B的全合成(J. Am. Chem. Soc., 2010, 132, 3815-3818; Angew. Chem. Int. Ed., 2011, 50, 676-679)。

Echinopines A和B的全合成
回国后主要研究方向是复杂天然产物全合成,代表性工作包括:Steenkrotin A的全合成(Angew. Chem. Int. Ed., 2015, 54, 6905-6908,点击阅读相关);吲哚生物碱Alsmaphorazine D的全合成(Angew. Chem. Int. Ed., 2015, 54, 879-882);Indoxamycins A, C, F的全合成(Angew. Chem. Int. Ed., 2013, 52, 13256-13260)等等。
丁寒锋教授:http://www.x-mol.com/university/faculty/26768
课题组主页:http://person.zju.edu.cn/ding
康强研究员
康强博士,中国科学院福建物质结构研究所研究员,2008年9月至2010年8月在新加坡科技局化学与工程研究院(ICES, A-STAR)K. C. Nicolaou教授课题组从事复杂天然产物的全合成研究。博士后期间主要工作是Englerin A的全合成(J. Am. Chem. Soc., 2010, 132, 8219-8222);Hopeanol和Hopeahainol A的全合成及生物活性研究(J. Am. Chem. Soc., 2010, 132, 7540-7548)。
Englerin A的合成策略:以[5+2]环加成反应为关键步骤构建了含有氧桥的七元环,Aldol反应构建了5-7并环,完成全合成。

Englerin A的全合成
以分子内傅克反应等为关键步骤,基于生源合成假说,完成了白藜芦醇类天然产物Hopeanol和Hopeahainol A的全合成及生物活性研究。


Hopeanol和Hopeahainol A的全合成
目前主要的研究方向为过渡金属催化的高效、新颖的反应方法学,以及绿色合成化学为导向的反应方法学。
康强研究员:http://www.x-mol.com/university/faculty/26769
董琳副教授
董琳博士,四川大学华西药学院副教授,2009-2011在新加坡科技研究局化学与工程科学研究院,师从K. C. Nicolaou教授做博士后。期间主要工作是以分子内DA反应为关键反应完成天然产物maoecrystal V核心骨架的模型研究(Chem. Commun., 2010, 46, 70-72)。2011年至今任职于四川大学华西药学院,从事有机合成方法学研究和天然产物全合成及药物合成。代表性工作包括:铑催化的N-磺酰基亚胺与炔烃的[3+2]环化,实现螺环磺内酰胺的合成(Chem. Eur. J., 2013, 19, 16537-16540)。
董琳副教授:http://www.x-mol.com/university/faculty/26770
石磊副教授
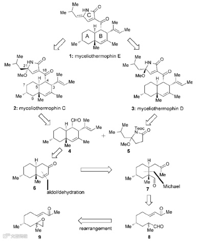
石磊博士,西安交通大学前沿科学研究院有机化学中心副教授。2011年进入斯克里普斯研究所K. C. Nicolaou教授课题组进行博士后研究,博士后期间研究方向为具有生理活性的复杂天然产物的全合成研究。代表性工作为天然产物 Myceliothermophins C、D和E的全合成(Angew. Chem. Int. Ed., 2014, 53, 10970-10974)。以分子内1,4-加成/Aldol/脱水串联反应构建了6-6并环骨架,以汇聚式合成策略完成了Myceliothermophins C、D和E的全合成。

Myceliothermophins C、D和E的全合成
石磊博士2015年初受聘于西安交通大学前沿科学技术研究院(FIST),研究兴趣主要集中于复杂天然产物全合成及不对称催化方法学等研究。
石磊副教授:http://www.x-mol.com/university/faculty/26771
除了任职于高校和科研院所的化学家之外,K. C. Nicolaou教授还有许多优秀的华人弟子进入企业,比如目前在Merck任职的Guoqiang Shi(Brevetoxin A合成团队主要成员,Nature, 1998, 392, 26498)、Yong-Li Zhong(CP分子合成团队主要成员,Angew. Chem. Int. Ed., 1999, 38, 1676-1678,另一篇Nicolaou教授自己心目中的Top 5文章之一)等等。目前,K. C. Nicolaou教授仍有不少华人弟子,可以相见,老先生还会培养出更多的优秀华人化学家来。
时间仓促,团队人力有限,本文内容如果有遗漏或者不准确的地方,欢迎大家批评指正、补充完善,提前拜谢各位!

推荐阅读

点击“阅读原文”,参加讨论



