《美国化学会志》(Journal of the American Chemical Society)简称JACS,是公认的顶级化学期刊。从2012年(3099篇)之后,发文量逐渐递减,2016共发表学术论文2391篇。这意味着在JACS上发表论文的难度正逐年增大。下面笔者精选了近些年几篇主族化学的论文,它们都拥有两个共同点:(1)顺利以通讯的形式发表在JACS;(2)有且仅有一个化学反应。
按时间顺序,先来看一下美国佐治亚大学Gregory H. Robinson教授在2013年的一篇磷化学的论文(J. Am. Chem. Soc., 2013, 135, 19139-19142),作者利用前期工作已经发表的化合物1,通入干燥的氧气,成功制备了化合物2(Fig. 1)。众所周知,四氧化二氮N2O4是二氧化氮NO2的二聚体。而化合物2是由两个NHC卡宾所稳定的P2O4化合物,也就是首例分离表征的四氧化二氮的磷类类似物。

Fig. 1. P2O4化合物2的制备。图片来源:JACS
同年,牛津大学的Jose M. Goicoechea教授利用磷氰酸钾和铵盐NH4BPh4在吡啶或四氢呋喃里发生化学反应,制备了化合物3(Fig. 2, J. Am. Chem. Soc., 2013, 135, 19131-19134)。尿素的合成是人类历史上首个通过无机物制备有机物的例子。化合物3是尿素的磷类类似物,并且是非常少见的在空气中稳定的母体膦类化合物。

Fig. 2. 尿素的磷类类似物3的制备。图片来源:JACS
2014年,德国哥廷根大学著名的无机化学家Herbert W. Roesky教授用33 mol%金属钾还原双CAAC卡宾稳定的零价硅化合物4,随后C-H键对C-Si键进行加成,直接转变为单CAAC稳定的六圆环硅宾化合物5(Fig. 3, J. Am. Chem. Soc., 2014, 136, 16776-16779)。该反应中K作为电子的供体,仅提供一个电子,真正的催化剂是这一个“自由”的电子(Fig. 4)。

Fig. 3. 六圆环硅宾化合物5的合成。图片来源:JACS

Fig. 4. 单电子催化机理。图片来源:JACS
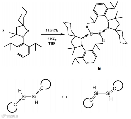
2016年,Roesky课题组又利用卡宾CAAC和HSiCl3在强还原剂KC8的作用下,成功制备了化合物6(Fig. 5, J. Am. Chem. Soc., 2016, 138, 10429-10432)。化合物6可以看作是两个CAAC卡宾和乙炔的硅元素类似物Si2H2的加合物。非常有意思的是,计算化学表明该化合物的两个共振形式对其电子结构的贡献几乎相等(Fig. 5, bottom),6既是卡宾稳定的Si2H2,也是硅杂1,3-丁二烯。

Fig. 5. 化合物6的制备及共振式。图片来源:JACS
—— 写在最后 ——
探究新的成键模式以及新的反应历程一直是基础化学研究的重要课题。几天前Nature Chem. 报道了中国化学家首次合成了化合物Na2He(”A stable compound of helium and sodium at high pressure.” Nature Chem., 2017, DOI: 10.1038/nchem.2716)。论文一经发表就被诸如C&EN等很多媒体所报道。笔者在为这项研究所震撼的同时,听到了很多更“震撼”的疑问——“该研究有什么用?”
类似的情况,其实并不少见,包括X-MOL的评论区。
引用一个故事作为回答:法拉第当年发明第一台发电机的时候,有一位贵妇观摩了他的演示实验,戏谑地问法拉第:“这玩意有什么用处呢?”法拉第没有为之惭愧,更没有恼羞成怒,而是平静的反问:“请问夫人,一个初生的婴儿能干什么呢?”
(本文由chemliu供稿)

推荐阅读
2016年全国高校研究所在“四大”化学期刊上论文发表统计

点击“阅读原文”,参加讨论



