氰酸(HO=C=N)或异氰酸(HN=C=O),属于常见的无机酸,可以通过加热分解三聚氰酸来大量制备,氰酸盐(NCO-)也被广泛用作化工原料。1828年,Friedrich Wöhler首次发现加热无机氰酸胺(NH4NCO)可以产生有机物尿素(NH2CONH2),这一反应的发现也历史性的打破了当时广为流传的“生机论”(the theory of vitalism,感兴趣的读者可以自行搜索解释)。164年之后,氰酸盐的重元素类似物磷氰酸锂盐(P=C=OLi)被首次分离表征(Z. Anorg. Allg. Chem., 1992, 612, 72)。但是由于合成方法困难以及稳定性差,PCO-负离子的研究较为缓慢,直到近些年来才被用作构建新型含磷有机物(Org. Chem. Front., 2014, 1, 1128)。

Figure 1. AsCO-、SbCO-、BiCO-的理论预测结构。图片来源:Inorg. Chem.
非常有意思的是,2014年,理论化学家Henry F. Schaefer预测氰酸根的重元素类似物AsCO-、SbCO-、BiCO-均有可能稳定存在(Figure 1, Inorg. Chem., 2014, 53, 6252)。近期,AsCO-负离子这一挑战性的工作最终被牛津大学的Jose M. Goicoechea教授突破,相关论文发表于Angew. Chem. Int. Ed.,并被选为封面文章(下图)。(The 2-Arsaethynolate Anion: Synthesis and Reactivity Towards Heteroallenes, A. Hinz and J. M. Goicoechea, Angew. Chem. Int. Ed., 2016, 55, 8536-8541, DOI: 10.1002/anie.201602310)。

Figure 2. Angew. Chem.封面。图片来源:Angew. Chem. Int. Ed.
Goicoechea教授课题组借鉴以红磷来制备PCO-的合成路线,巧妙的批量制备了砷氰酸根的钠盐(Figure 3)。砷氰酸钠的晶体结构和理论预测的结构相差无几(Figure 4),As、C、O三个原子几乎处于一条直线(AsCO键角176.6°)。自然键轨道理论分析表明AsCO三个原子之间以As=C双键和C=O双键形式键合(键级分别为2.14和1.70),并且As和O原子电荷分别为-0.5和-0.6。

Figure 3. 砷氰酸钠的制备。图片来源:Angew. Chem. Int. Ed.

Figure 4. 砷氰酸钠的晶体结构。图片来源:Angew. Chem. Int. Ed.
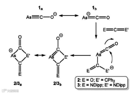
初步研究表明,和PCO-离子类似(Chem. Commun., 2014, 50, 11347),AsCO-显示出较高的环加成反应活性(Figure 5)。AsCO-可以与烯酮或者碳二亚胺化合物发生[2+2]环加成,生成相应的砷四元环化合物2和3(Figure 6)。Goicoechea教授推断该环加成和传统的狄尔斯-阿尔德协同环加成不同,属于分步环加成,涉及As负离子对不饱和碳的亲核进攻以及碳碳键形成。

Figure 5. 砷氰酸钠的环加成反应。图片来源:Angew. Chem. Int. Ed.

Figure 6. 化合物2和3的晶体结构。图片来源:Angew. Chem. Int. Ed.
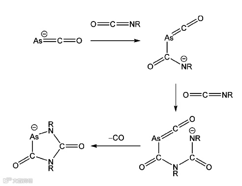
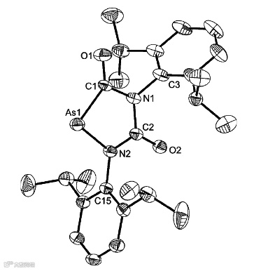
有趣的是,1当量的AsCO-和2当量有机异氰酸酯发生化学反应,同时释放一分子的CO,生成含砷五元环化合物4(Figures 7 and 8)。在该反应中,AsCO-作为“As负离子”的供体。该反应伴随着一系列的副产物,例如砷元素自身的聚合物As42-和As124-(Figure 9)。As124-离子具有两种对称性(C2h和D4h)。

Figure 7. As负离子转移反应。图片来源:Angew. Chem. Int. Ed.

Figure 8. 化合物4的晶体结构。图片来源:Angew. Chem. Int. Ed.

Figure 9. As42-和As124-的晶体结构。图片来源:Angew. Chem. Int. Ed.
至此,首例砷氰酸根负离子被分离表征。AsCO-形式上可以看作一个CO分子稳定的As负离子。该负离子具有很强的还原性以及构建复杂含砷化合物的能力。笔者相信会有更多优秀的AsCO-工作被Goicoechea教授报道,也希望SbCO-和BiCO-早日被主族化学家突破。
Goicoechea教授课题组介绍:http://goicoechea.chem.ox.ac.uk/
http://onlinelibrary.wiley.com/doi/10.1002/anie.201602310/abstract
(本文由chemliu供稿)

推荐阅读

点击“阅读原文”,参加讨论



