俗话说的好,“男怕玩单反,女怕玩烘培,单反穷三代,烘培毁一生”。想必大伙对烘焙事业费时烧钱有所耳闻。可是,你们知道吗,烘培里面也包含有机人名反应,仔细研究一下还能发SCI呢,还是ACS期刊J. Agric. Food Chem.。这篇烘焙SCI文章来自加拿大的英属哥伦比亚大学David D. Kitts教授课题组。当我看到这篇文章的图片摘要时就想要推荐给大家,特别是那些擅长烘培又发不出SCI的糕点师们(男、女博士们)。

图片来源:J. Agric. Food Chem.
美拉德反应(Maillard reaction)是法国化学家Louis-Camille Maillard于1912年在进行蛋白质合成研究时发现的氨基酸与还原糖之间的化学反应。该反应的产物广泛存在于各种经过高温加热的食物当中。维基百科举了这样三个例子。

图片来源:Wikipedia
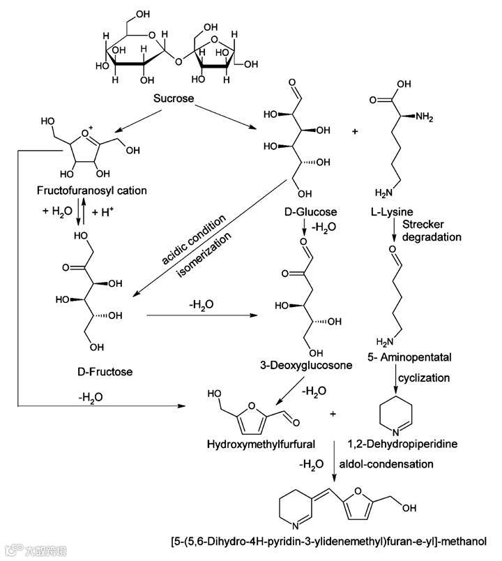
原文作者在文章中给出了美拉德反应产物(F3-A,下图)的可能途径,并认为在烘培面包的时候可能会生成F3-A。另外,有文献报道F3-A具有一定的抗炎作用,所以作者觉得研究一下烤面包中的F3-A含量非常有意义。

F3-A合成途径。图片来源:J. Agric. Food Chem.
我估计看到这,从事各种含量测定的同学心里面将是五味杂陈。都是含量测定,凭什么人家就发SCI,我就发中文核心;人家做个实验,连饭都有了……

图片来自网络
既然回归到了含量测定,那么方法学研究是不能少的,提取溶剂、pH值、提取回收率、最低检测限、最低定量限以及色谱方法这些东西作者都进行了研究。咱们就不赘述了,对方法学感兴趣的同学直接看原文就好了。
咱们关注的重点肯定是面包了!作者研究了三种面包(WI, white sandwich bread、WW, 100% whole wheat sandwich bread、WH, 100% whole wheat home-style bread,我平时面包吃的少,还真不知道该怎么翻译)的面包皮和面包屑在暗烤、光烤和不烤情况下F3-A的含量。具体结果大家看这个表格一目了然。当然,作者也对这个结果进行了分析,能看懂上面反应机理的同学基本都能分析出个所以然来。

图片来源:J. Agric. Food Chem.
鉴于F3-A是个有生物活性的分子,作者又研究了这个分子的细胞渗透性。细胞渗透性研究模型是经典的Caco-2细胞。作者另选了高渗透性高溶解性药物普萘洛尔和高溶解性低渗透性药物呋塞米作为对照。实验结果表明,F3-A具有较高的渗透性。加之F3-A具有良好的水溶性,作者据此推测,F3-A可能会像普萘洛尔一样具有较高的生物利用度而发挥其抗炎活性。

图片来源:J. Agric. Food Chem.(作者表格中有个小错误,发现请留言)
凭心而论,这篇文章无论从实验技术还是研究深度都没有什么特别之处。但是,我由衷地佩服这篇文章的选题角度。在西方社会,烤面包简直是太常见了,人家就能从日常生活中找到科研入手点还做出个SCI来。在我国,众多科研工作者、研究生们甚至临床大夫还在被SCI指挥棒戏谑着,挖空心思找方向,只为了应对3分、5分(或一区、二区)的考评办法、奖励政策。
看了人家这文章,妈妈再也不用担心我发不出SCI啦,绝对是醍醐灌顶,文思如泉涌,随随便便甩几个idea出来供大伙讨论:
基于美拉德反应产物F3-A评价北京烤鸭传统工艺技法的合理性
烤羊肉、烤羊腿、烤羊腰子等不同烧烤部位之间F3-A的含量差异
麦当X与肯X基薯条中抗炎活性物质F3-A的含量比较
中国传统烹饪技法煎、炒、烹、炸对食材发生美拉德反应及其产物的影响
……
你们谁要是用上面的idea申请了项目发了文章,不用给我挂名,写在致谢里面就行啦。这样的课题干个三年五载的发个SCI,是不是可以直接应聘某东方烹饪技术学校的XX人才计划了,搞个“面包学者”什么的。就算发不出SCI,直接去各酒店后厨面试也绝对是科研成果转化的高端人才。有道是不想当教授的厨子不是个好研究生……

图片来自网络
好吧好吧,过年啦,大伙都忙,闲扯两句帮大伙放松放松精神,最后提个醒,个别同学大吃大喝的时候别忘了,还得发文章毕业呢……囧
原文(扫描或长按二维码,识别后直达原文页面):

Detection of Maillard Reaction Product [5-(5,6-Dihydro-4H-pyridin-3-ylidenemethyl)furan-2-yl]methanol (F3-A) in Breads and Demonstration of Bioavailability in Caco-2 Intestinal Cells
J. Agric. Food Chem., 2016, 64, 9072-9077, DOI: 10.1021/acs.jafc.6b04367
(本文由乐只君子供稿)

推荐阅读
2016年全国高校研究所在“四大”化学期刊上论文发表统计

点击“阅读原文”,参加讨论



