苯并咪唑,尤其是含有手性链的衍生物广泛存在于天然产物和具有生物活性分子中。因此合成该类化合物引起了许多化学家的关注,合成该类化合物报道主要集中在利用手性原料来构建苯并咪唑骨架。对于不对称的转化,目前仅有两三例利用潜手性的苯并咪唑类底物直接进行官能化反应的报道。这两种策略都需要提前制备手性原料或潜手性的苯并咪唑底物。近期,四川大学的冯小明教授、刘小华教授及其合作者成功地实现了第一例不对称催化环丙基酮与芳基-1,2-二胺的开环/环化/逆曼尼希反应,高效构建了含有手性侧链的苯并咪唑衍生物。该方法一步完成了苯并咪唑骨架的构建并同时实现了其侧链上手性的控制。

Scheme 1. 合成苯并咪唑和2,3-二氢吡咯可能的路径
该方法的思路来源于作者之前对环丙基酮与苯胺反应生成2,3-二氢吡咯衍生物的研究。在该研究中,作者认为反应经历了如下历程:首先是苯胺对环丙烷的开环得到中间体A,之后进行分子内的亲核环化形成氨基半缩酮B,最后脱水形成2,3-二氢吡咯(Scheme 1, path a)。在此基础上,作者设想,是否可以通过利用另一分子的亲核试剂胺来捕获中间体B,然后经过5-exo-tet环化脱水过程得到三环中间体C,C再进行一步逆曼尼希反应得到苯并咪唑衍生物(Scheme 1, path b)。
为了验证猜想,作者选择环丙基酮1a和邻苯二胺2a作为标准底物来进行反应。当加入Sc(OTf)3/L-PiPr3配合物时,开环/环化/逆曼尼希反应确实发生了,以95%的收率和91% ee的对映选择性得到目标产物3aa。同时并未检测到二氢吡咯产物的生成。通过对反应条件进一步优化,最终得到的最佳反应条件是:ScCl36H2O 作为中心金属,L-PiPr3作为配体,1,1,2,2-四氯乙烷作为溶剂,在35 ℃条件下反应48小时(Table 1, entry 4)。


Table 1. 反应条件的优化
在最佳条件下,作者对底物普适性进行了考察。首先固定邻苯二胺2a,考察环丙基酮上取代基对反应的影响。从催化结果可以看出,间位和对位上的取代基不管是吸电基还是供电基对产物的活性和对映选择性影响都较小。但是邻位甲基取代的底物只给出80% ee。此外,稠环和脂肪取代的底物也能给出较好的结果(3ka-3na)。值得一提的是,当利用螺环类型环丙烷1q参与反应时,以中等的对映选择性得到八元环的手性苯并咪唑衍生物(Table 2)。


Table 2. 环丙烷类底物拓展
随后作者对取代的邻苯二胺进行了考察。从结果可以看出,芳环上取代基的电性对反应的对映选择性影响不大。但是当使用非对称的邻苯二胺时,得到了两种区域选择性的产物。但是大部分取代的区域异构体可以通过简单的柱层析进行分离(3ac-3ag, 4ac-4ag)。除此以外,稠环和杂环取代的二胺类底物也能给出较好的结果(Table 3)。


Table 3. 芳基二胺类底物拓展
为了考察该方法的实用性,作者分别对产物3aa和3ma进行了衍生。3aa通过肟化/贝克曼重排以49%的收率得到酰胺5。3ma通过Wittig烯烃化/烯烃关环复分解反应可以得到相应的苯并咪唑取代的环戊烯衍生物6(Scheme 2)。

Scheme 2. 产物衍生
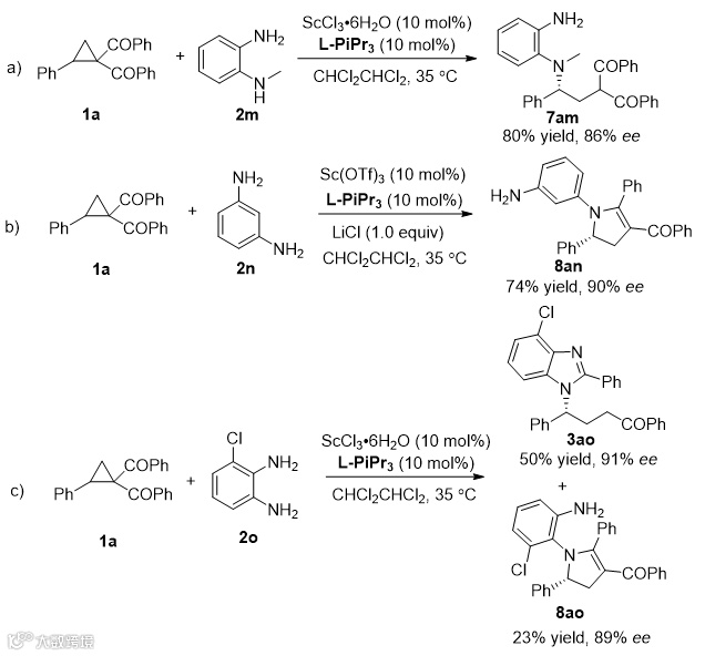
作者还对该反应的机理进行了初步的研究。首先利用N-甲基取代的邻苯二胺参与反应,得到了直接开环的产物7am,说明开环步骤可能该反应的第一步。当利用间苯二胺进行反应时,得到了2,3-二氢吡咯8an。此外当利用3-氯取代的邻苯二胺反应时,作者分别得到了苯并咪唑8ao和二氢吡咯产物3ao。综合以上信息,作者认为该反应可能经历了开环/环化/逆曼尼希反应的历程(Scheme 3)。

Scheme 3. 控制实验
总之,本文作者成功实现了不对称催化环丙基酮与芳基-1,2-二胺的开环/环化/逆曼尼希反应,一步构建了苯并咪唑骨架和实现了其侧链上手性的控制。以优秀的结果得到了手性的苯并咪唑衍生物。
该论文作者为:Yong Xia, Lili Lin, Fenzhen Chang, Yuting Liao, Xiaohua Liu, Xiaoming Feng
原文(扫描或长按二维码,识别后直达原文页面):

Asymmetric Ring Opening/Cyclization/Retro-Mannich Reaction of Cyclopropyl Ketones with Aryl 1,2-Diamines for the Synthesis of Benzimidazole Derivatives
Angew. Chem. Int. Ed., 2016, 55, 12228-12232, DOI: 10.1002/anie.201604735
导师介绍
冯小明院士
http://www.x-mol.com/university/faculty/12766
刘小华教授
http://www.x-mol.com/university/faculty/12781

推荐阅读

点击“阅读原文”,参加讨论



