自2007年Haeshin Lee等人在Science发表了题为“Mussel-inspired chemistry for multifunctional coatings”(Science, 2007, 318, 426-430)的论文以来,聚多巴胺逐渐走进了材料科学家们的视野,并在随后几年的时间里迅速成为材料学研究的宠儿。聚多巴胺对于多种材料,包括传统上认为较难修饰的低能表面均具有优异的黏附性,并通过氧化聚合过程形成多能性涂层。尽管今年来聚多巴胺应用的论文呈现出爆发式的增长,聚多巴胺形成的最本质问题——聚多巴胺的反应机理与结构还尚未明晰。最近,来自麻省理工学院的Markus J. Buehler教授课题组,利用从头计算法对多巴胺及黑色素的结构进行了模拟,相关论文发表在Chemical Science上。

图1. a) 多巴胺可能的反应途径以及b) 5,6-二羟基吲哚醌(DHI)的共振结构。图片来源:Chem. Sci.
这类论文读起来往往非常冗繁,因此今天小编就直接一点,先上结论。首先,目前比较被接受的二聚过程是邻苯醌结构与未氧化的儿茶酚结构通过芳氧自由基的耦合实现交联。通过对各种不同的多巴胺氧化还原产物的电子云密度的模拟、反应活性的分析、进攻方式的推测……(此处省略1000字)重点来了,他们的结论如图2所示,图中红色的3号碳原子在所有不同结构中的电子自旋密度较低,未成对电子最不可能出现在这个位置,因此这个位子发生交联的可能性最低;5、6、8、9四个橙色原子具有一定的自旋密度,但由于位阻效应较难接近;而绿色的2、4、7三个原子在大部分情况下的自旋密度最高,因此聚合反应最有可能在此处发生(这其实与大部分研究中的结果是一致的)。

图2. 图片来源:Chem. Sci.
图3则进一步模拟了不同的二聚体和三聚体以及四聚体的结构,图中红色箭头表明了抽氢反应可能发生的位点,而绿色箭头则指向可能发生后功能化的位点。


图3. 二聚体、三聚体以及四聚体的结构模拟。图片来源:Chem. Sci.
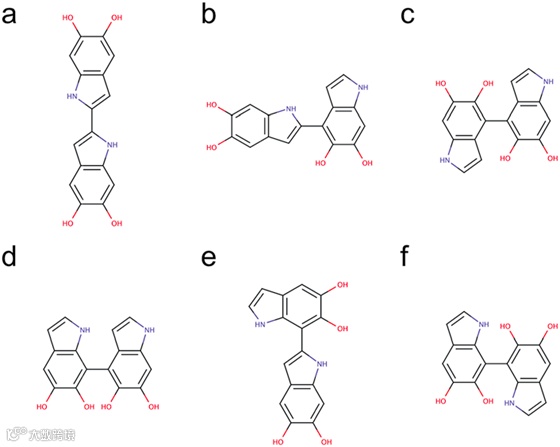
原谅小编的懒惰,图4中的三张图则分别表示了从能量角度计算后,最为稳定的二聚体、三聚体以及四聚体的结构,其稳定性依此递减。值得注意的是,在二聚体的计算中,2-2’结构的稳定性是最强的(图4a),而不是许多文献中喜欢画出的结构(图4d)。

图4. 二聚体最稳定的六种结构。图片来源:Chem. Sci.

图5. 三聚体最稳定的12种结构。图片来源:Chem. Sci.

图6. 四聚体最稳定的16种结构。图片来源:Chem. Sci.
聚多巴胺的自组装结构也是其重要的二级结构,研究者进一步模拟了聚多巴胺的聚集体结构。其中图7a是较为稳定且可能性较大的四聚体结构之一,其能够通过平面堆叠形成b中的聚集体结构;而c其实是能量上较不稳定的结构,也是可能性较小的四聚体结构,有趣的是它也能够形成聚集体结构d,但是形成的结构是无规的。这里小编要提一句,7c的结构似乎常常出现在文献之中哦。

图7. 多巴胺聚集体的结构。图片来源:Chem. Sci.
原文(扫描或长按二维码,识别后直达原文页面):

http://pubs.rsc.org/en/Content/ArticleLanding/2016/SC/C6SC04692D
Polydopamine and eumelanin molecular structures investigated with ab initio calculations
Chem. Sci., 2017, DOI: 10.1039/C6SC04692D
导师介绍
Markus J. Buehler教授
http://www.x-mol.com/university/faculty/26812
(本文由YHC供稿)

推荐阅读

点击“阅读原文”,参加讨论



