过氧化氢(H2O2)是一种环境友好型氧化剂,在各种工业领域有广泛应用。同时,H2O2用于燃料电池仅仅排出水和氧气,是一种无污染、清洁能源。而且其液体存在形式,相比氢气更易于储存和运输。H2O2目前的工业生产方法主要是蒽醌法,其反应副产物难以控制,能耗高。因此,研究者正寻求可替代的高效、绿色、经济的H2O2合成方法,其中光合成H2O2是一种极具发展潜力的途径。
光合成H2O2是利用光催化材料吸收光能,产生分离的光生电子和空穴,电子转移到催化剂表面,通过2电子还原途径选择性地将氧气还原为H2O2,而氧气的1电子还原与4电子还原是其竞争反应,因此控制还原反应的选择性是关键。目前主要采用的光催化剂是经过表面修饰的半导体TiO2或负载贵金属Au, Ag的TiO2以及氮化碳(C3N4)基材料,但绝大多数体系都需要外加空穴捕获牺牲试剂(例如:醇),以促进光生电子的分离与转移。所以,在纯水体系中、利用非贵金属催化剂、高选择性光合成H2O2具有很大挑战。
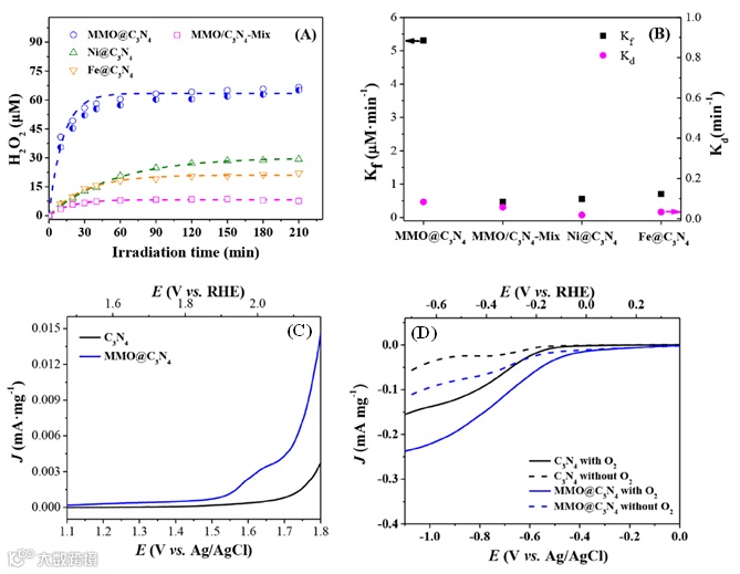
近日,北京化工大学化工资源有效利用国家重点实验室项顼教授课题组与加州理工学院C.X. Xiang博士合作,利用LDH前体法制备了复合金属氧化物@氮化碳光催化材料(MMO@C3N4),该材料将具有水氧化能力的NiFe-MMO与具有氧还原能力的C3N4耦合,耦合后的MMO@C3N4的导带和价带位置相比C3N4均发生了正移,价带正移且配合MMO水氧化催化剂,改善了光生空穴的分离与收集,促进在催化剂表面的水氧化,而正移的导带增强了氧气的2电子还原选择性,从而H2O2生成。而单独的MMO或C3N4均不能光合成H2O2。

MMO@C3N4复合材料的主要优势有:(1) 催化剂由非贵金属、地球丰富元素组成,且利用LDH前体法能够在C3N4基质上获得高分散的MMO,更好地暴露水氧化催化剂的活性位,促进光生空穴氧化水;(2) 仅以纯水和氧气为原料,在不外加任何牺牲试剂的条件下光合成H2O2,是一种真正清洁的H2O2生产方式;(3) MMO的金属元素组成、元素比例、及其与C3N4的比例均可灵活调变,从而优化催化剂的性能;(4) 该复合材料结构稳定,经多次重复使用,其催化性能无明显下降。因此,通过LDH前体法制备复合金属氧化物@氮化碳双功能催化剂,能够将水氧化和氧选择性还原能力有效耦合,用于纯水体系直接光合成H2O2,为高效、绿色、经济合成H2O2提供了一条可替代路线。

(A) The light-driven H2O2 generation in O2-equilibrated conditions over MMO@C3N4, Ni@C3N4, Fe@C3N4, and MMO/C3N4-Mix; the semi-hollow circles (blue) represents the repeated use of the MMO@C3N4 photocatalyst. (B) Formation rate constant (Kf) and decomposition rate constant (Kd) for H2O2 production. (C) Linear sweep voltammetry (LSV) curves of catalyst-loaded electrodes for C3N4 and MMO@C3N4 toward oxygen-evolving reaction, (D) LSV curves of catalyst-loaded electrodes for C3N4 and MMO@C3N4 under N2- or O2-equilibrated conditions, respectively.
该研究成果发表在ChemSusChem上,第一作者是研究生王瑞瑞。通讯作者为北京化工大学项顼教授。该工作得到国家973项目、国家自然科学基金、北京市自然科学基金的支持。
该论文作者为:Ruirui Wang, Kecheng Pan, Dandan Han, Jingjing Jiang, Chengxiang Xiang, Zhuangqun Huang, Lu Zhang, Xu Xiang
http://onlinelibrary.wiley.com/doi/10.1002/cssc.201600705/full
Solar-Driven H2O2 Generation From H2O and O2 Using Earth-Abundant Mixed-Metal Oxide@Carbon Nitride Photocatalysts
ChemSusChem, 2016, 9, 2470-2479, DOI: 10.1002/cssc.201600705
推荐阅读

点击“阅读原文”,参加讨论



