多核金属氢化物因其具有独特的结构以及高化学反应活性而受到了广泛关注。先前的一些研究表明多核金属氢化物可以通过独特的金属−氢以及金属−金属之间的协同作用实现一系列小分子的活化。此前,日本理化学研究所侯召民教授课题组研究合成了一种新型的三核钛金属氢化物([(C5Me4SiMe3)Ti]3(μ3-H)(μ2-H)6),首次在常温常压下通过多核金属氢化物实现了N2的N≡N键裂解及N−H键形成,并与大连理工大学罗一教授合作,通过密度泛函理论计算揭示了多金属协同作用下的N−N键断裂及N−H键形成的详细机制,为人们今后研究在温和条件下将N2转化为NH3乃至合成氨工业具有重要意义(Science, 2013, 340, 1549.)。随后,侯召民教授课题组进一步发现该钛氢配合物在温和的反应条件下可以实现惰性苯分子开环重排,这是过渡金属辅助的苯分子开环重排的首例报道(Nature, 2014, 512, 413.),但其详细转化机制尚不清楚。过渡金属辅助的苯环碳−碳键断裂的反应是工业上使用固体催化剂通过石油加氢裂化制备燃料和化学品的重要过程,因此对其研究具有极其重要的理论和实际意义。相对于C−H键的活化与功能化,有关C−C键断裂反应的机理研究相对较少,这是因为烃类化合物的C−C键不如C−H键裸露,不易与金属中心接触,从而为相关的实验和理论研究带来了困难。特别是对于具有芳香性且非极性的惰性苯分子的C=C断裂的机理研究尤为少见。

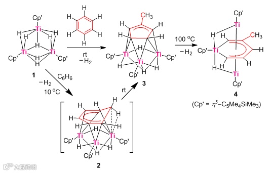
图1 钛氢配合物活化苯环开环重排
近期,侯召民教授与罗一教授进一步合作,使用密度泛函理论深入研究了三核钛多氢配合物促进苯分子开环重排的反应(图1),从分子和电子层面上揭示了多金属协同作用下苯分子开环重排的详细机制。

图2 钛氢配合物活化苯环开环重排的主要过程
研究结果表明,该反应经历苯分子配位、氢气释放、芳环的氢金属化、反复的C−C和C−H键的断裂与形成等反应历程(图2)。其中,氢气释放和芳环氢金属化使得芳香性底物还原,从而促使其发生开环反应。研究发现,三核钛多氢配合物中金属间的协同、灵活多变的氢配体以及价态可变的金属中心是促进该反应顺利发生的重要因素。此外,三核钛氢配合物的反磁性耦合的特征对实现该反应也起到了重要作用。该研究不仅有助于深入认识多核金属配合物活化惰性苯分子的微观过程,而且有助于理解工业上固体催化剂表面芳香烃的开环反应机理,同时也可为设计惰性芳烃活化和转化的分子反应新体系提供理论信息。
这一成果发表在《Journal of the American Chemical Society》(J. Am. Chem. Soc., 2016, 138, 11550.)上,文章的共同第一作者是大连理工大学博士研究生亢小辉和罗根。该工作得到了国家自然科学基金的资助。
该论文作者为:Xiaohui Kang, Gen Luo, Lun Luo, Shaowei Hu, Yi Luo, Zhaomin Hou
原文(扫描或长按二维码,识别后直达原文页面):

http://pubs.acs.org/doi/abs/10.1021/jacs.6b03545
Mechanistic Insights into Ring Cleavage and Contraction of Benzene over a Titanium Hydride Cluster
J. Am. Chem. Soc., 2016, 138, 11550-11559, DOI: 10.1021/jacs.6b03545
导师介绍
侯召民教授
http://www.x-mol.com/university/faculty/31089
课题组介绍
http://www.riken.jp/lab-www/organometallic/HP2015e/index.html
罗一教授
http://www.x-mol.com/university/faculty/9401
http://faculty.dlut.edu.cn/luoyi/zh_CN/index.htm

推荐阅读

点击“阅读原文”,参加讨论



