纳米科技是当今科学研究的主旋律之一。纳米材料制备技术日新月异,促进了纳米电化学的迅猛发展。尽管纳米材料在电化学能源体系和分析检测中都得到了广泛研究,但似乎并未完全达到人们的预期。究其原因,是由于对电化学体系的传荷、传质、吸附等电极过程之间的偶联关系在微纳米尺度下所发生的变化缺乏足够的重视所造成的。因此,开展微纳尺度电化学基础研究,有助于发现、理解过去曾经“忽略”的反应动力学性质,优化电化学表界面设计,充分发挥纳米电极材料的优越性,提升各类电化学器件的性能。

图1 纳米铂电极上,由于电极/溶液界面的尺寸小于吸附物种的扩散距离,吸脱附电流和电量均表现出显著的扩散特征。
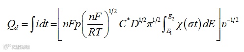
例如,硫酸介质中铂电极表面水的解离吸附是电化学的经典课题。在宏观尺度的铂电极上,氢、氧吸附物种在铂表面的吸脱附电流与循环伏安法的扫描速率成正比。然而,厦门大学詹东平教授课题组的研究表明,在纳米铂电极上,氢、氧吸附物种在铂表面的吸脱附电流不再与循环伏安法的扫描速率成正比,而是与扫描速率的平方根成正比,表现出显著的扩散特征。如图1所示,由于吸附物种浓度的差异,在电极/溶液界面毗邻的铂表面上会存在一个扩散区。由于吸附物种的扩散程很短,在宏尺度电极上由扩散引起的电量几乎可以忽略不计;然而在纳米电极上,吸附物种的表面扩散就会成为主导因素。根据吸附电量和扫描速率平方根的倒数关系就可以得到铂表面氧吸附物种的扩散系数((5.61 ± 0.84) × 10−10 cm2/s at 25 °C):

进一步由表面扩散系数和温度之间的Arrhenius关系获得氧吸附物种的表面扩散自由能(13.67 kJ/mol):

在此基础之上,作者论证了氧吸附物种的表面扩散是铂表面去CO毒化的控制步骤,而不是氧吸附物种和CO之间的表面化学反应。
催化剂表面吸附物种迁移性和反应性的定量测定是多相催化和表面科学的技术难题。目前主要采用场发射显微镜、场离子显微镜、激光诱导热脱附、扫描隧道显微镜技术(STM)等技术研究真空或者固/气环境下的表面扩散行为。STM虽然可以通过快速扫描成像的方法“捕捉”吸附物种的布朗运动,采用统计分析方法导出固/液环境下吸附物种的表面扩散,但STM本身就具有搬运功能,很难排除隧道电流对表面扩散的干扰。詹东平教授课题组提出的纳米电极方法定量研究电催化表面吸附物种的迁移性和反应性质,为研究电催化和电沉积机理提供了新的技术途径。相关论文发表于美国化学会旗下刊物J. Am. Chem. Soc.
该工作得到国家自然科学基金委“科学仪器基础研究专款”项目(批准号:21327002)和“纳米制造的基础研究”重大研究计划集成项目(批准号:91323303)的资助。
该论文作者为:Wei Wang, Jie Zhang, Fangfang Wang, Bing-Wei Mao, Dongping Zhan, Zhong-Qun Tian
原文(扫描或长按二维码,识别后直达原文页面):

http://pubs.acs.org/doi/abs/10.1021/jacs.6b05259
Mobility and Reactivity of Oxygen Adspecies on Platinum Surface
J. Am. Chem. Soc., 2016, 138, 9057-9060, DOI: 10.1021/jacs.6b05259
导师介绍
詹东平教授:http://www.x-mol.com/university/faculty/14075

推荐阅读

点击“阅读原文”,参加讨论



