涉及超过6个π电子的环加成反应被称为高阶环加成反应,是解决复杂的合成挑战的一个很好的工具,可以用来构建包含中环体系的多环骨架,在发现新的活性分子和天然产物全合成方面具有有趣的潜力。然而在过去的50年里,这种独特的立体选择性的[8+2]以及[6+4]环加成反应在很大程度上是被忽略的。近期,丹麦奥胡斯大学(Aarhus University)化学系的Karl Anker Jørgensen教授课题组在Nature Chemistry发表文章,报道了有机胺小分子催化的立体选择性[8+2]、[6+4]环加成反应。

Karl Anker Jørgensen教授。图片来源:Aarhus University
作者在这篇文章中报道了胺活化2-环戊烯酮、2-环己烯酮、2-环庚烯酮等形成的二烯-胺(dienamine)和环庚三烯酮及其衍生物的立体选择性的[8+2]、[6+4]以及形式[4+2]等环加成反应,反应的选择性由2-环烯酮的环大小以及三庚烯酮的取代基控制,得到的手性产物可以发生各种不同的化学反应或光化学反应进而合成全碳多环骨架。

图1. 有机胺催化的立体选择性[8+2]、[6+4] 以及形式[4+2]环加成反应。图片来源:Nature Chem.
如图1a所示,在手性胺催化剂的作用下,2-烯酮化合物会形成亚胺进而异构化为烯胺中间体,有三种可能存在的形式,从左到右依次是交叉型的二烯胺(cross dienamine)、环内线性的二烯胺、环外线性的二烯胺。和环庚三烯酮或其衍生物反应时,以交叉型的二烯胺反应,则发生[6+4]环加成反应得到二桥环化合物。如果以环内线性的二烯胺的形式去反应,则有可能发生[8+2]环加成反应能得到并环的三环骨架,也有可能发生形式上[4+2]反应得到桥环并环结构。

图2. 高阶环加成反应的探索和优化。图片来源:Nature Chem.
对于反应的探索和优化见图2,通过对四种金鸡纳碱(1a、1b、1c、1d)、三种环烯酮(n = 1, 2, 3)和三种环庚三烯酮或其衍生物的组合筛选,作者发现当底物为环戊烯酮时,和3A反应,樟脑磺酸作添加剂,1,4-二氧六环中反应,或者与3B反应,丙酸作为添加剂,甲苯中反应,都能主要得到[6+4]环加成反应(entry 1、2、3),其中和3A的反应产率中等,立体选择性优秀。n = 2 时,和3A或者3B反应,主要得到形式[4+2]环加成反应;和3C反应,主要得到[8+2]环加成反应产物(entry 4、5、6)。n = 3 时,和3B或者3C反应,主要得到[8+2]环加成反应产物(entry 7、8、9)。


图3. 高阶环加成反应产物之间的转化。图片来源:Nature Chem.
作者也对反应的过程进行了阐明,从图3a可以看出,在条件A:1c(0.02 mmol)、2(0.2 mmol)、3A(0.1 mmol)、樟脑磺酸(–)-CSA(0.04 mmol)在1,4-二氧六环(0.1 ml)中60 °C反应,消旋的[6+4]环加成反应产物4bA,两天之后会得到热力学更稳定的[8+2]环加成反应6bA,且具有一定的立体选择性。同样,在条件B(图3b):1b(0.02 mmol)、2(0.2 mmol)、3B或3C(0.1 mmol)、EtCO2H(0.02-0.06 mmol)在甲苯中(0.1 ml)60 °C反应,形式[4+2]环加成反应产物5bB,10分钟后会得到热力学更稳定的[8+2]环加成反应6bB,尽管ee值较低,但产率和dr选择性优良。这可能是由于整个环加成反应都是可逆的过程,对于2-环戊烯酮来说,会以交叉二烯胺的形式和环庚三烯酮反应,得到[6+4]环加成反应产物4。当n>1时,即对于2-环己烯酮或者2-环庚烯酮,则以线性二胺的形式发生反应得到三环中间体,水解后得到[8+2]环加成反应5,或者开环后再对不饱和亚胺发生1,4-加成得到形式[4+2]环加成反应6(图3c)。

图4. 控制不同条件得到不同产物。图片来源:Nature Chem.
从图4可以看出,对于同一底物环己烯酮化合物7,在不同条件下,即环庚三烯酮上取代基不同以及添加剂酸不同时,会分别得到形式[4+2]环加成反应(3B,樟脑磺酸作添加剂)和[8+2]环加成反应(3C,丙酸作添加剂)。


图5. 反应产物的能量及可能的过渡态。图片来源:Nature Chem.
为了更好地理解这些高阶环加成反应的选择性,作者也通过计算化学的手段对环烯酮2a、2b、2c和环庚三烯酮及其衍生物3A、3B、3C两两组合的9种反应产物的能量进行了对比,比如说,对于环戊烯酮的[6+4]环加成反应,就是和3A或者3B反应的能量相对降低。
作者也提出了可能的过渡态,比如对于环戊烯酮的[6+4]环加成反应,手性胺催化剂和环庚三烯酮3A通过氢键的方式结合,在过渡态I中由于π-π相互作用结合较好,因而利于反应。而环戊烯酮和3B或3C的结合如图II过渡态,结合不好,不利于反应。同理,对于环己烯酮的[8+2]环加成反应,主要是和3B或3C的结合如图III过渡态,结合良好利用反应。

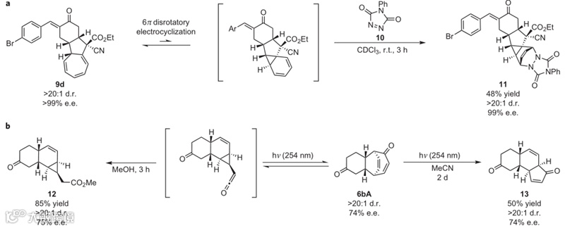
图6. 高阶环加成产物的进一步衍生化。图片来源:Nature Chem.
对于这些高阶环加成产物,也可以通过进一步的转化用于其它骨架的合成,比如从[8+2]环加成产物9d出发,经6π电环化得到环己二烯中间体再和亲双烯体10发生DA反应可以中等收率和优秀的立体选择性得到多环产物11。从6bA出发,在乙腈中光照条件下,会发生酰基的1,3-迁移得到三环化合物13,而在甲醇中则经由烯酮中间体进而得到带有三元环的产物12,产率和dr选择性都非常优秀。
—— 总结 ——
Karl Anker Jørgensen教授课题组报道了有机胺小分子催化的环烯酮和环庚三烯酮及其衍生物的立体选择性[8+2]、[6+4]环加成反应,并阐明了反应的过程,提出了可能的过渡态,并实现了这些高阶环加成产物的进一步转化,这都将在有机合成中具有应用价值。
原文(扫描或长按二维码,识别后直达原文页面):

Organocatalytic stereoselective [8+2] and [6+4] cycloadditions
Nature Chem., DOI: 10.1038/nchem.2682

推荐阅读
2016年全国高校研究所在“四大”化学期刊上论文发表统计

点击“阅读原文”,参加讨论



