有机合成一代宗师K. C. Nicolaou教授不仅是伟大的化学家(点击阅读详细),也是真正“桃李满天下”的教育家。早前我们简要介绍老先生的华人弟子(点击阅读详细),这次将按时间顺序简要盘点一下K. C. Nicolaou教授的外国弟子。由于时间仓促,团队人力有限,如果有遗漏或者不准确的地方,欢迎大家批评指正、补充完善。
Nicos Andreou Petasis(USC)
Nicos Andreou Petasis在宾夕法尼亚大学跟随K. C. Nicolaou教授读博士,于1983年获得博士学位。期间主要工作就是Endiandric acids的仿生全合成。1982年同期连发四篇JACS,J. Am. Chem. Soc., 1982, 104, 5555-5557; J. Am. Chem. Soc., 1982, 104, 5557-5558; J. Am. Chem. Soc., 1982, 104, 5558-5560; J. Am. Chem. Soc., 1982, 104, 5560-5562(K. C. Nicolaou先生Top 5文章之一)。注意到页码没有?真正的“连续四篇”JACS。

Endiandric acids的仿生全合成
基于仿生合成策略,多烯底物先发生8Π电环化反应,接着发生6Π电环化反应(顺旋或者对旋)串联分子内DA反应,非常简洁高效地完成了Endiandric acids类天然产物的全合成。

Nicos Andreou Petasis
Nicos Andreou Petasis目前任职于南加利福尼亚大学(University of Southern California,又译南加州大学,简称USC)化学系,主要研究方向是有机分子的合成、开发新方法新策略、有机钛化学、有机硼化学、组合化学等。代表性工作有 J. Am. Chem. Soc., 1997, 119, 445; J. Am. Chem. Soc., 1998, 120, 11798; Nature, 1997, 389, 985; J. Am. Chem. Soc., 1995, 117, 6394; Proc. Natl. Acad. Sci. U.S.A., 2010, 107, 1660; J. Med. Chem., 2011, 54, 2902等等。
课题组主页:
http://chem.usc.edu/faculty/Petasis.html
Erik J. Sorensen(Princeton University)
Erik J. Sorensen于1989-1995在University of California, San Diego(UCSD)跟随K. C. Nicolaou教授读博士,期间主要工作是参与Taxol的全合成以及10元环enediyne的合成研究和生物活性研究(Angew. Chem. Int. Ed., 1992, 31, 1044-1046)。还同K. C. Nicolaou教授一起编写了Classics in Total Synthesis I。

Erik J. Sorensen
Erik J. Sorensen教授1997-2003年在斯克里普斯研究所担任教职,2003年起任职于普林斯顿大学化学系。主要工作是开发有机合成方法学、简洁高效的合成天然产物以及相关化学生物学研究。代表性工作Fumagillol的高效合成(Angew. Chem. Int. Ed., 1999, 38, 971-974; J. Am. Chem. Soc., 2000, 122, 9556-9557; J. Am. Chem. Soc., 2002, 124, 4552-4553),跨环DA和DA反应不对称合成FR182877(J. Am. Chem. Soc., 2003, 125, 5393-5407),Viridin的全合成(Angew. Chem. Int. Ed., 2004, 43, 1998-2001),DA反应关大环合成abyssomicin C(Angew. Chem. Int. Ed., 2005, 44, 6533-6537),以环丁烷扩环为关键步骤简洁高效合成guanacastepenes A 和 E(J. Am. Chem. Soc., 2006, 128, 7025-7035),串联DA反应/逆ene反应构建环己烯的方法学(J. Am. Chem. Soc., 2014, 136, 9918-9921),Jiadifenolide.的全合成(Angew. Chem. Int. Ed., 2014, 53, 5332-5335)等。(点击查看综述)
课题组主页:
http://chemists.princeton.edu/sorensen/
Rodney Kiplin Guy(St. Jude Children's Research Hospital)
R. Kiplin Guy 1991-1996年在斯克里普斯研究所跟随K. C. Nicolaou教授读博士,博士期间主要工作是参与了Taxol的全合成(Angew. Chem. Int. Ed., 1995, 34, 2079-2090)。

R. Kiplin Guy
1998-2005任职于University of California, San Francisco,2005年至今任职于St. Jude Children's Research Hospital。研究兴趣包括小分子合成和新药的研发。
Kazunori Koide(University of Pittsburgh)
Kazunori Koide于1992-1997年在UCSD跟随K. C. Nicolaou教授读博士,期间代表性工作是balanol及类似物的合成研究(Chem. Eur. J., 1995, 1, 454),也参与了Brevetoxin B的全合成和Rapamycin雷帕霉素的全合成研究。

Kazunori Koide
研究兴趣包括天然产物、化学传感器、组合化学等。
课题组主页:
http://www.pitt.edu/~koide/group/
Floris P. J. T. Rutjes(Radboud University Nijmegen)
Floris P. J. T. Rutjes于1993-1995年在斯克里普斯研究所跟随K. C. Nicolaou教授做博士后,期间主要工作是Brevetoxin B的合成研究(J. Am. Chem. Soc., 1995,117, 10252-10263)。

Floris P. J. T. Rutjes
他的研究兴趣包括化学催化和生物催化、活性分子的全合成、化学生物学等。代表性工作包括Sedacryptine的全合成(Org. Lett., 2014, 16, 2038-2041),一锅法串联的氧化/氧杂Michael反应方法学(Eur. J. Org. Chem., 2014, 2014, 2892-2898)。
课题组主页:
http://www.soc.science.ru.nl/
Emmanouil Theodorakis(UCSD)
Emmanouil Theodorakis于1993-1995年在斯克里普斯研究所跟随K. C. Nicolaou教授做博士后,期间主要工作是Brevetoxin B的全合成(J. Am. Chem. Soc., 1995, 117, 1171-1172; J. Am. Chem. Soc., 1995, 117, 1173-1174 K. C. Nicolaou先生Top 5文章之一)。

Brevetoxin B的全合成

Brevetoxin B的合成团队

Emmanouil Theodorakis
Emmanouil Theodorakis研究兴趣包括天然产物全合成及药物研发,代表性成果包括Jiadifenin的不对称全合成(Org. Lett., 2011, 13, 4554-4557),明星分子Fusarisetin A的全合成(J. Am. Chem. Soc., 2012, 134, 5072-5075,李昂研究员是首例全合成,他是第二篇,后来国内高栓虎教授、杨震教授、张延东副教授均有合成报道),antibiotic CJ-16,264的全合成及结构修正(Angew. Chem. Int. Ed., 2015, 54, 9335-9340)。
课题组主页:
http://theodorakisgroup.ucsd.edu/index.html
Nicolas Winssinger(University of Geneva)
Nicolas Winssinger于1995-2000年在斯克里普斯研究所跟随K. C. Nicolaou教授读博士,2002-2012年任职于University of Strasbourg,2012年起任职于University of Geneva。

Nicolas Winssinger
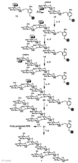
博士期间的主要工作是epothilones A和B的合成(Nature, 1997, 387, 268-272),固相合成Heptasaccharide Phytoalexin Elicitor(HPE)(J. Am. Chem. Soc., 1997, 119, 449-450),固相合成大环体系(Angew. Chem. Int. Ed., 1998, 37, 2534-2537),还参与了Vancomycin的固相合成和组合化学合成。

固相合成HPE
他的研究兴趣包括:多样性导向的全合成和模板合成等。代表性工作包括对PNA的研究(Acc. Chem. Res., 2015, 48, 1319-1331),多样性导向的合成(Angew. Chem. Int. Ed., 2012, 51, 5391-5394; Nat. Commun., 2016, 7, 12470),模块化合成Radicicol A及相关化合物(Angew. Chem. Int. Ed., 2007, 46, 6899-6902)等等。
课题组主页:
http://www.unige.ch/sciences/chiorg/winssinger/
Phil S. Baran(Scripps Research Institute)
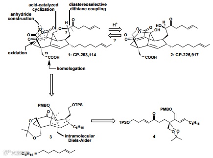
Phil S. Baran于1997-2001年在斯克里普斯研究所跟随K. C. Nicolaou教授读博士,博士期间主要工作是CP分子的全合成,两篇Angew上的Communication(Angew. Chem. Int. Ed., 1999, 38, 1669; Angew. Chem. Int. Ed., 1999, 38, 1676, K. C. Nicolaou先生Top 5文章之一),三篇JACS的full paper(J. Am. Chem. Soc., 2002, 124, 2183-2189; J. Am. Chem. Soc., 2002, 124, 2190-2201; J. Am. Chem. Soc., 2002, 124, 2202-2211),并在合成过程中开发了DMP和IBX等高价碘试剂介导的氧化关环反应等(J. Am. Chem. Soc., 2002, 124, 2212-2220; J. Am. Chem. Soc., 2002, 124, 2221-2232; J. Am. Chem. Soc., 2002, 124, 2233-2244)。而在一篇Angew的综述中(Angew. Chem. Int. Ed., 2002, 41, 2678-2720),Baran等人讲述了三代合成路线三次向目标CP分子冲击的故事,像走迷宫一样,又像打怪一样,最终战胜怪兽,合成了CP分子。



CP分子的合成挑战及合成策略
CP分子合成的难点如图所示,包括高张力内酯环的构建、桥头带有双键的桥环骨架构建等。合成策略包括以分子内DA反应构建桥环骨架、以氧化反应和酸催化的环化反应构建内酯环和四氢吡喃环等。
传闻,当K. C. Nicolaou教授早上走到实验室时,发现Phil S. Baran睡着了,面前放着全合成完的CP分子的核磁谱图,这种敬业精神还是非常令人敬佩的。Phil S Baran仅用四年就拿到了博士学位,他的博士论文更是有机化学人士学习的典范。

CP分子的全合成

CP分子合成团队,包括Zhong Yongli博士和贺耘教授
Phil S. Baran 2003年起,在斯克里普斯研究所担任教职,研究兴趣包括复杂天然产物全合成研究及有机合成方法学的发展,如他网页上所述,追求理想化的合成(“Aiming for the Ideal Synthesis”)。他也提出了无保护基合成的概念并实现了一些分子的无保护基合成(Nature, 2007, 446, 404-408)。他和Hoffmann教授提出了有机合成中的氧化还原经济性(“Redox Economy in Organic Synthesis”)的概念(Angew. Chem. Int. Ed., 2009, 48, 2854-2867)。
Baran实验室完成了许多复杂天然产物的全合成,如以分子内DA反应和Grob碎裂化反应为关键步骤合成vinigrol(J. Am. Chem. Soc., 2009, 131, 17066-17067),Palau’amine的全合成(Angew. Chem. Int. Ed., 2010, 49, 1095-1098),天然产物(+)-phorbol的19步全合成(Nature, 2016, 532, 90-93)等等,还进行了很多让人瞠目结舌的有机合成反应。他是目前有机化学圈内的超级新星,E. J. Corey曾经评价“他在同行中的领先优势将会是令人咂舌的20年。”(点击阅读详细)
课题组主页:
http://www.scripps.edu/baran/html/home.html
Scott A. Snyder(University of Chicago)
Scott A. Snyder教授于1999-2004年在斯克里普斯研究所跟随K. C. Nicolaou教授读博士,博士期间的主要工作是Diazonamide A的全合成研究(Angew. Chem. Int. Ed., 2000, 39, 3473.; J. Am. Chem. Soc., 2004, 126, 10162),并和K. C. Nicolaou教授合著了Classics in Total Synthesis II。

Scott A. Snyder

Diazonamide A的全合成
Diazonamide A的合成策略中以肽键的形成、大环内酰胺的形成、RCM反应关大环、二芳基的偶联反应等为关键步骤。
Scott A. Snyder教授2006年在Columbia University担任教职,2011年起任职于斯克里普斯研究所,2015年9月起任职于University of Chicago。独立后的主要研究兴趣也是天然产物全合成,代表性的工作包括基于白藜芦醇天然产物的全合成(Angew. Chem. Int. Ed., 2007, 46, 8186; J. Am. Chem. Soc., 2009, 131, 1753),卤素离子诱导的多烯环化反应并用于天然产物全合成(J. Am. Chem. Soc., 2010, 132, 14303),利用碳氢键芳基化反应简洁高效地合成Scholarisine A(J. Am. Chem. Soc., 2013, 135, 12964),Exochomine的不对称全合成(Angew. Chem. Int. Ed., 2016, 55, 10301)等。
课题组主页:
http://snyder-group.uchicago.edu/
David Sarlah(UIUC)

David Sarlah本科期间就在K. C. Nicolaou教授课题组进行学习研究,还于2006-2011年在斯克里普斯研究所跟随K. C. Nicolaou教授读博士,博士期间的主要工作是以[2+2]环加成反应为关键步骤的Biyouyanagin A的全合成研究及结构修正(Angew. Chem. Int. Ed., 2007, 46, 4708-4711),以RB反应、环氧开环串联DA反应等为关键步骤Hirsutellone B 的全合成(Angew. Chem. Int. Ed., 2009, 48, 6870-6874)。

Biyouyanagin A的全合成

Hirsutellone B 的全合成
2014年起任职于UIUC,研究兴趣包括天然产物全合成、有机合成方法学的开发、化学生物学及药物化学等。我们也曾解读过他的第一篇Nature Chemistry(点击阅读详细)。
课题组主页:
http://www.sarlahgroup.com
K. C. Nicolaou教授的外国弟子还有很多,欢迎读者补充,我们将适时写出续集继续为大家解读。

推荐阅读

点击“阅读原文”,参加讨论



