离子液体由阴阳离子组成,具有低蒸气压和通常分子溶剂所不具有的许多独特性质,近年来得到极为广泛的应用。但相对于离子液体捕集CO2、SO2、H2S、NO等酸性气体的迅猛发展,一氧化碳(CO)作为键能最高的双原子气体,实现离子液体高效捕集CO一直是碳捕集领域中最具有挑战性的研究课题之一,具有重要的科学意义和应用前景。
CO是一种π酸配体,易与过渡金属发生σ-donation配位作用。目前工业上的铜氨溶液吸收CO以及铜分子筛吸附CO正是利用了这种配位作用。另外,在π方向上,CO配体含有空的π*轨道,若一种阴离子具有很强的亲核能力,亲核进攻CO的π*轨道,则可以与CO形成另一种相互作用。因此,作者设想是否可以将亲核作用引入到离子液体的阴离子结构中,从而实现离子液体高效捕获CO。

图1. 合成碳负离子液体的路线
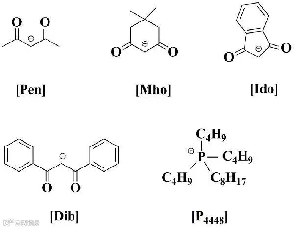
基于上述思路,江西师范大学陶端健副教授课题组在实现氨基酸离子液体多位点吸收CO2研究工作的基础上(Angew. Chem. Int. Ed., 2016, 55, 7166-7170),与美国橡树岭国家实验室的杰出科学家Sheng Dai研究员、美国加州大学河滨分校的De-en Jiang教授课题组合作,通过理论预测和分子设计,巧妙地利用β-二酮化合物亚甲基位的氢具有较强酸性的特点,将其与有机季膦强碱发生酸碱中和反应(图1),干燥除水后成功制备出一系列的碳负离子液体(图2);其次,他们利用碳负离子具有超强的亲核性,测定CO在碳负离子液体中的溶解度,结果表明常压下毎摩尔碳负离子液体吸收的CO容量高达0.046摩尔,分别是常规有机溶剂和普通离子液体溶解度的50和20多倍,首次实现了离子液体对CO的高效化学吸收捕集。

图2. 碳负离子液体阴阳离子结构
接着,作者进一步研究了碳负离子液体与CO的吸收作用机理,通过量化理论计算、红外光谱和核磁共振碳谱等结果,证明碳负离子亲核进攻CO后形成了含醛基的三羰基化合物中间体。与此同时,碳负离子液体捕获的CO可在室温常压下发生羰基酯化反应,进一步转化为具有高附加值的苯甲酸酯等精细化学品(图3)。该项工作提出的碳负位点捕集CO与催化转化耦合的新策略,对研究开发高效的CO捕集材料以及温和条件下的羰基化反应有极大的促进作用。

图3. CO的捕获与羰基酯化反应
这一研究成果作为封底文章发表在Angew. Chem. Int. Ed.上,论文共同通讯作者为江西师范大学的陶端健副教授、美国加州大学河滨分校的De-en Jiang教授和美国橡树岭国家实验室的Sheng Dai研究员。该研究工作得到了国家自然科学基金、江西省杰出青年资助计划和江西省自然科学基金等项目的大力支持。

该论文作者为:Duan-Jian Tao, Feng-Feng Chen, Zi-Qi Tian, Kuan Huang, Shannon M Mahurin, De-en Jiang, Sheng Dai
原文(扫描或长按二维码,识别后直达原文页面):

Highly Efficient Carbon Monoxide Capture by Carbanion-Functionalized Ionic Liquids through C-site Interactions
Angew. Chem. Int. Ed., 2017, DOI: 10.1002/anie.201701919
导师介绍
陶端健
http://www.x-mol.com/university/faculty/20496

推荐阅读
本文版权属于X-MOL(x-mol.com),未经许可谢绝转载!欢迎读者朋友们分享到朋友圈or微博!
长按下图识别图中二维码,轻松关注我们!

点击“阅读原文”,参加讨论



