磷元素的发现还得归功于欧洲中世纪的炼金术。炼金术士希望找到传说中的“哲人石(philosopher's stone)”,掌握点石成金的秘法,让普通的金属如铅铁变成黄金。1669年,德国汉堡一位名为Hennig Brand的炼金术士收集了几十桶人尿,希望通过蒸发尿液获得哲人石。实验毫无意外地失败了,但他却意外地得到一种白色物质,光照后这种物质能在暗处发出蓝绿色的光。于是,他就以“发光”的意思将这种新发现的物质命名为“磷”。[1]

Hennig Brand发现磷。图片来源:JOSEPH WRIGHT OF DERBY / WIKIMEDIA
历史讲完了,来讲磷化学。在磷的同素异形体中,白磷和红磷最为常见。磷矿是工业制备含磷化合物的基本原料(图1)。磷矿经过还原可以转化为白磷单质(P4,正四面体构型),随后被氧化为三氯化磷,进而构建我们常见的有机膦化合物。这一转化过程涉及氯元素的使用和废弃,往往对环境造成严重的污染。最理想的方法莫过于直接活化白磷转化为有机膦,虽然化学家们很早就提出这一目标,但是目前白磷的活化仍然出于萌芽阶段,距离工业化尚有一段距离。笔者就2010年以来的五篇代表性Angew. Chem. Int. Ed. 的论文来简单介绍这一领域的工作。

图1. 工业制备含磷化合物
按时间顺序,首先我们介绍一下麻省理工学院(MIT)的Christopher C. Cummins教授在2010年发表的一篇VIP论文(Angew. Chem. Int. Ed., 2010, 49, 7516-7518)。这篇论文报道了在紫外光照射下,P4会降解为高反应活性的P2分子,随后P2与体系中存在的共轭二烯烃发生两次Diels-Alder环加成反应生成稳定的环状二膦分子1和2(图2)。

图2. 二膦分子1和2的制备以及2的晶体结构。图片来源:Angew. Chem. Int. Ed.
2014年,德国雷根斯堡大学(University of Regensburg)的Manfred Scheer教授报道了利用原位生成的环戊二烯自由基对P4的活化(Angew. Chem. Int. Ed., 2014, 53, 7639-7642),致使P-P单键断裂的同时构建两个C(sp3)-P键(图3,CpBIG=C5(4-nBuC6H4)5)。

图3. 环戊二烯自由基对P4的活化。图片来源:Angew. Chem. Int. Ed.
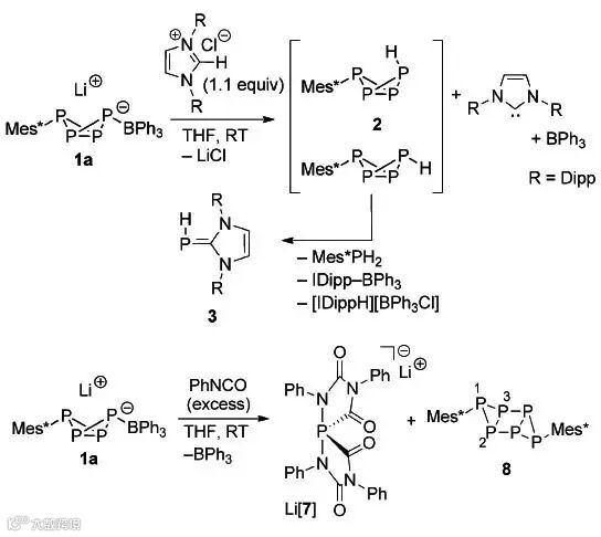
同年,荷兰阿姆斯特丹自由大学(VU University Amsterdam)的Koop Lammertsma教授利用大位阻的碳负离子作为路易斯碱,大位阻的B(C6F5)3作为路易斯酸成功分离表征了首例路易斯酸稳定的芳基P4负离子结构(图4,Angew. Chem. Int. Ed., 2014, 53, 12836-12839)。随后Lammertsma教授又报道了该P4负离子可以进行“P1+P3”式降解(图5,Angew. Chem. Int. Ed., 2017, 56, 285-290),进而构建新颖复杂的有机膦化合物。

图4. 路易斯酸稳定的芳基P4负离子的合成以及1a的晶体结构。图片来源:Angew. Chem. Int. Ed.

图5. 路易斯酸稳定的芳基P4负离子的降解反应。图片来源:Angew. Chem. Int. Ed.
2016年,北京大学的席振峰教授利用明星分子双锂试剂和P4发生反应,一步高产率地将P4分子降解为含有一个P原子的阴离子产物(图6,Angew. Chem. Int. Ed., 2016, 55, 9187-9190),并且利用理论计算对反应机理进行了分析(图7)。

图6. 双锂试剂对P4的降解反应。图片来源:Angew. Chem. Int. Ed.

图7. 双锂试剂对P4降解反应的机理研究。图片来源:Angew. Chem. Int. Ed.
白磷活化作为磷化学里的一个重要领域,已有近50年的历史。无论是过渡金属化合物或者主族元素化合物对白磷的活化,目前的研究主要为化学计量反应。如何建立有效的催化体系对白磷进行高效转化仍然是众多化学家的目标。中国是磷储量大国,笔者也期待看到更多中国化学家的优秀工作。
参考资料:
1. 磷元素的发现:
https://en.wikipedia.org/wiki/Phosphorus
(本文由chemliu供稿)

推荐阅读
本文版权属于X-MOL(x-mol.com),未经许可谢绝转载!欢迎读者朋友们分享到朋友圈or微博!
长按下图识别图中二维码,轻松关注我们!

点击“阅读原文”,参加讨论



