多药耐药的病原体(细菌、真菌等)已对人类的健康造成日益严重的威胁。这些微生物通常需要摄取铁元素来合成细胞色素以及生物体所需的酶,其中铁载体对于将宿主细胞中的铁离子运送至微生物细胞起到了重要作用。发展有效的铁载体生物及化学抑制剂阻断铁载体的合成成为抗病原体感染的潜在治疗手段。Baulamycin A和B是2014年美国密歇根大学的David H. Sherman教授课题组从哥斯达黎加Playa Grande地区的海洋微生物中分离得到的天然产物。他们从约39升的培养液中分别提取出3.6 mg的Baulamycin A和2.1 mg的Baulamycin B,并发现这种抗生素类化合物对超级耐甲氧西林金黄色葡萄球菌(MRSA)和炭疽杆菌等革兰氏阳性菌中铁载体的合成具有显著的抑制作用。然而两种天然产物从自然界中分离获取的途径繁琐且困难,限制了人们以常规的化学修饰方法进行结构鉴定,因而只能通过核磁共振波谱及质谱等表征手段完成对分子结构的分析。

图1. Sherman教授早期推断的Baulamycin A和B的立体结构。图片来源:Nature
Baulamycin A和B分别具有乙基和甲基长链脂肪酮修饰的间苯二酚结构,两个分子在14碳的脂肪链中均含有七个手性中心,其中只有三个呈连续分布,其早期推测的结构如图1所示。2017年,印度科学普及协会的Rajib Kumar Goswami与CSIR中央药物研究所的Ravi Sankar Ampapathi等人设计了线性步骤为17步的Baulamycin A的立体选择性全合成,但发现所得到的图1结构化合物的光谱数据与Sherman教授报道的结果并不完全一致,由此说明早期天然产物Baulamycin A通过测试表征所推断分子的立体构型可能存在错误。随后两人又尝试合成了两种其他可能的非对映异构体,但最终并没有得到与原始数据匹配的结构。
与此同时,英国布里斯托大学的Varinder K. Aggarwal教授团队发展了线性步骤为10步的Baulamycin A和B的合成,同样发现Sherman教授推测的分子立体构型不正确。于是Aggarwal教授与同在布里斯托大学的Craig P. Butts教授合作,将目标分子Baulamycin A分为图2所示的两部分,基于密度泛函理论计算与核磁共振波谱数据,片段A(C10-C1'部分)的相对立体构型得以成功解析。在此基础上,他们固定片段A的立体构型合成了四种可能的Baulamycin A非对映异构体,通过四种分子非等比例地混合并对混合物进行核磁共振波谱表征,与天然产物的原始数据比照后最终得到Baulamycin A的正确结构。相关成果发表在Nature 上,文章的共同第一作者为吴晶晶(Jingjing Wu)博士、Paula Lorenzo博士和在读博士生钟斯颖(Siying Zhong),其中化学实验部分由吴晶晶与Paula Lorenzo博士共同完成,钟斯颖负责文章的理论计算部分。

图2. 修正后的Baulamycin A和B的立体结构。图片来源:Nature
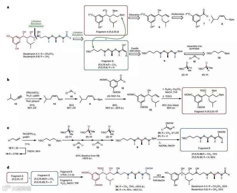
作者起初对Baulamycin A和B分子进行了逆合成分析,断裂C11-C12键得到片段A(3)、B(4、5),这两部分可通过该课题组发展的1,2-双(硼酸酯)的选择性锂-硼化反应进行偶联(点击阅读相关)。片段A(3)能够以相应的高烯丙基醇(6)为原料通过羟基导向的Morken烯基双硼化反应制得,6又可通过相应的醛与烯丙基硼酸酯发生Antilla高烯丙基化来构建。而对于片段B,作者设计从简单的烷基硼酸酯出发,同样以该课题组发展的迭代同系链增长反应通过流水线合成(Assembly-Line Synthesis)的方式进行脂肪链延长,并进一步发生Zweifel烯化反应来实现。但合成样品的表征数据与天然产物的原始数据并不完全相同。

图3. Baulamycin A和B的原始逆合成分析与合成路线。图片来源:Nature
核磁共振波谱表征是用于推测化合物立体化学特征十分有效的方法,人们借助偶合常数(J)、核Overhauser效应(NOE)等数据可以用来判断分子中特定原子或化学基团的空间相对位置。但Baulamycin A和B中的14碳柔性脂肪链在进行核磁共振波谱表征时可形成多种构象,所得到的表征数据是所有可能构象加权平均的结果,目前发展的分析手段尚不足以明确解析相关结构,因而为分子结构的推断带来巨大的麻烦。另一方面,Baulamycin A和B在理论上均具有128种可能的非对映异构体,逐一合成并与天然产物的原始数据进行比对来判断其正确的结构显然不切实际。
作者对合成样品的核磁共振波谱数据做进一步分析,片段A(C10-C1'部分)中C1'与C14相邻质子的偶合常数为3.6 Hz,对比天然产物的原始数据(7.2 Hz),他们首先将C1'-C14部分的相对构型syn 修正为anti 。随后他们固定片段B的相对立体构型与原始数据中anti-anti 的构型保持一致,改变片段A中C11与C13的手性得到四种可能的非对映异构体(26-29)。作者通过分子力场模拟出以上非对映异构体可能存在的构象,借助密度泛函理论计算以及天然产物旋转坐标核极化效应谱(ROESY)的数据推算出该片段中氢原子之间的距离,对每种非对映异构体的构象群进行优化,并计算优化构象的加权平均偶合常数。对比计算结果与天然产物数据,他们最终得出29为满足条件的唯一结构,由此推导出片段A可能的相对立体构型为anti-anti-syn,但其绝对构型仍需进一步考察。

图4. 片段A的立体构型分析与合成路线。图片来源:Nature
作者进一步对片段B的立体构型进行分析,固定片段A的绝对立体构型,片段B存在四种可能的非对映异构体。他们同样借助密度泛函理论计算初步排除了非对映异构体29与35,但无法推断Baulamycin A分子的最终结构,于是设想仍旧通过以往发展的迭代同系链增长反应通过流水线合成的方式对B片段中C1-C11部分的脂肪链进行合成。由于该方法具有十分优异的立体选择性,因而可以通过改变反应试剂的对映选择性精确调控非对映异构体混合产物的比例。他们首先选择了对映异构体比例(S/R)分别为>99.9/0.1、72/28、64/36的α-锡基苯甲酸乙酯用作手性甲基供体构建脂肪链的C8、C6、C4位,由此得到47/25/18/10比例的非对映异构体混合物37/36/29/35,与预期比例几乎一致。随后他们将以上混合物与片段A偶联并消除保护基得到Baulamycin A的非对映异构体混合物,其比例仍为47/25/18/10。混合样品进行核磁共振13C谱表征,数据表明占据最高比例(0.47)的非对映异构体的化学位移与天然产物原始数据高度吻合,由此确定了片段B的正确相对立体构型为syn-syn,并非早期提出的anti-anti。

图5. 片段B的立体构型分析与合成路线。图片来源:Nature
片段A、B的相对立体构型得以确立后,作者选取最后剩余的四种非对映异构体中的37和40进行比较,即合成具有(R, R, R)绝对构型的片段B(39)分别与绝对构型为(S, S, S)和(R, R, R)的片段A(38, 34)进行偶联形成C8-C11部分相对构型分别为anti 与syn 的两种化合物,它们的核磁共振13C谱几乎相同,而只有37的核磁共振1H谱与天然产物的原始数据完全匹配。随后他们对非对映异构体37进行光学活性测试,发现与天然产物Baulamycin A的旋光性恰好相反,由此说明37为天然产物的对映异构体,Baulamycin A的正确立体构型应为ent-37。除此之外,作者还根据立体构型正确的Baulamycin A,修正了Baulamycin B的结构,并完成了正确结构Baulamycin A和B的天然产物全合成。

图6. Baulamycin A和B相对构型与绝对构型的确立。图片来源:Nature
——总结——
查阅以往的文献,天然产物分子的结构误判并不罕见,这主要受限于现有的分析技术仍无法完全满足复杂精细结构的鉴定。本文作者将核磁共振波谱表征与理论计算相结合,实现了柔性分子Baulamycin A和B立体构型的修正,并最终确定了其正确结构。该方法大大简化了复杂天然产物分子进行结构鉴定的手段,与此同时也提高了其准确性,具有重要的借鉴意义。
原文(扫描或长按二维码,识别后直达原文页面):

Synergy of synthesis, computation and NMR reveals correct baulamycin structures
Nature, 2017, 547, 436, DOI: 10.1038/nature23265
导师介绍
Varinder K. Aggarwal
http://www.x-mol.com/university/faculty/3205
Craig P. Butts
http://www.x-mol.com/university/faculty/3214
参考资料:
1. http://www.nature.com/nature/journal/v547/n7664/full/547410a.html
2. http://cen.acs.org/articles/95/i31/Straightening-natural-products-stereochemistry.html
3. https://phys.org/news/2017-07-chemists-deduce-baulamycins.html
(本文由夜若岚尘供稿)
近期新增期刊


本文版权属于X-MOL(x-mol.com),未经许可谢绝转载!欢迎读者朋友们分享到朋友圈or微博!
长按下图识别图中二维码,轻松关注我们!

点击“阅读原文”,查看所有收录期刊



