螺环二氢吡咯化合物因具有独特的化学结构和性质受到研究人员的广泛关注。例如,含有这类骨架的化合物在抗病毒、抗菌和缓解神经性疼痛的研究中表现出较好的效果(图1)。

图1. 具有生物活性的螺环二氢吡咯化合物
尽管螺环二氢吡咯的合成方法已有一些报道(图2),但这些合成方法尚有许多不足,比如原料需要多步合成、使用化学计量的对湿气、空气敏感的有机金属试剂(BuLi、LiEt3BH、LiAlH4)以及官能团兼容性较差等。为此,发展高效简洁的合成策略来实现这类分子骨架的构建具有十分重要的研究意义。
最近,第三军医大学魏晔教授课题组发展了一种高效构建螺环二氢吡咯骨架的方法(图2)。该方法采用廉价的CuBr作为催化剂、肟酯和烯烃作为反应原料,表现出很好的底物适用性和官能团兼容性。相关研究成果发表于ACS Catalysis 上,第三军医大学的硕士生赵博和博士生梁洪文为文章的共同第一作者。

图2. 铜催化肟酯和烯烃反应构建螺环二氢吡咯
作者首先采用1,3-茚二酮衍生的烯烃和苯乙酮肟酯为反应试剂对反应条件进行了筛选,并确定了反应的最优条件[CuBr(5 mol%), THF, 60 °C, 18 h]。随后,作者对肟酯的底物类型进行了深入的考察(图3和图4)。苯乙酮肟酯中芳香环的给电子和吸电子取代基对反应的影响较小。除了苯乙酮类肟酯外,环状和非环状脂肪酮衍生的肟酯也表现出较好的反应活性。该反应还对多种杂环具有较好的兼容性,比如吡啶、噻吩、呋喃、吲哚、吡咯、吡唑和噻唑等。值得一提的是,该方法还适用于生物活性分子孕烯醇酮衍生的肟酯(图5)。


图3. 多种肟酯类底物的考察

图4. 含有杂环的肟酯类底物的考察

图5. 孕烯醇酮衍生的肟酯参与的反应
随后,作者对1,3-茚二酮衍生的烯烃类底物进行了考察(图6)。反应同样表示出很好的官能团兼容性,能够兼容I、Br、OAc、醛基、酯基、烯烃和炔烃等容易进行后续官能团转化的基团。

图6. 1,3-茚二酮衍生的烯烃类底物的考察
除了1,3-茚二酮衍生的烯烃以外,氧化吲哚、噻唑、巴比妥酸衍生的烯烃也适用于该合成方法,从而丰富了杂螺环二氢吡咯的结构类型(图7)。

图7. 1,3-茚二酮衍生的烯烃类底物的考察
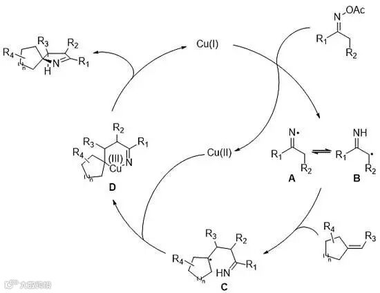
除了考察底物的普适性,作者还对反应的机理进行了探究(图8)。一系列的实验表明反应可能经历了自由基过程。基于这些结果和相关的文献,作者提出了可能的反应机理(图9)。首先,肟酯在Cu(I)催化剂存在的条件下产生亚胺自由基A和Cu(II)物种,前者可以异构化为α碳自由基B。随后,B亲核进攻烯烃产生自由基C,该物种再与产生的Cu(II)物种结合形成Cu(III)物种。最后,C-N键还原消除得到螺环二氢吡咯产物。

图8. 反应机理的探究

图9. 可能的反应机理
总结
作者发展了一种铜催化构建螺环二氢吡咯结构高效简洁的方法,反应具有原料易得、底物适用范围广、操作简便等优点。这种合成策略有望用于合成更多结构新颖的(杂)螺环二氢吡咯化合物,从而为新药研发提供稳健的物质支持。
该论文作者为:Bo Zhao, Hong-Wen Liang, Jie Yang, Zhen Yang and Ye Wei
原文(扫描或长按二维码,识别后直达原文页面):

Copper-Catalyzed Intermolecular Cyclization between Oximes and Alkenes: A Facile Access to Spiropyrrolines
ACS Catal., 2017, 7, 5612, DOI: 10.1021/acscatal.7b01876
导师介绍
魏晔
http://www.x-mol.com/university/faculty/44767
近期新增期刊


本文版权属于X-MOL(x-mol.com),未经许可谢绝转载!欢迎读者朋友们分享到朋友圈or微博!
长按下图识别图中二维码,轻松关注我们!

点击“阅读原文”,查看所有收录期刊



