芳香烃的傅克酰基化反应是制备芳香酮的重要方法。与傅克烷基化反应相比,酰基化反应既不会生成多重酰化产物,也不会发生碳正离子重排,修饰的酰基还可利用克莱门森(Clemmensen)还原反应、沃尔夫-凯惜纳-黄鸣龙(Wolff-Kishner-Huang)还原反应或者催化氢化等反应转化为烷基,在一定程度上弥补了烷基化反应的不足。一般情况下,酰基化反应中需要使用预先制备好的酰基化试剂,如酰基卤化物、酸酐等,而这些羰基源的合成通常又需要使用SO2Cl2、PCl3和PCl5等试剂,不仅为反应后处理带来不便,而且造成了极大的资源浪费并带来环境问题,限制了酰基化反应在实验室和工业上的应用。近年来,从高效绿色合成的角度出发,研究人员使用一氧化碳作为羰基源,发展了一系列插羰反应,实现了芳香酮类化合物的合成,例如钯催化芳基亲电试剂与有机金属试剂的插羰偶联反应以及过渡金属催化芳香烃C-H键的羰基化反应。然而这些方法依然存在着很多不足,前者需要使用预先制备的有机金属试剂,显然不符合原子经济性要求;而对于后者,除分子内反应较容易发生,分子间反应需要使用活化或者带有导向基团的芳香烃底物。

图1. 傅克酰基化反应合成芳香酮

图2. 插羰反应合成芳香酮
同样是合成芳基酮化合物,酰基化反应的优点是芳香烃的C-H键容易断裂,缺点是需要制备酰氯试剂;而C-H键羰基化反应的优点是使用CO为羰基源,缺点是芳香烃的C-H键不易断裂,使用CO现场生成酰卤试剂,然后发生酰基化反应似乎就可以将二者完美结合。这个想法听起来很简单,做起来却很难,主要有两方面问题:(1)过渡金属催化芳基卤化物的插羰反应不易通过还原消除过程生成酰基化试剂;(2)酰基化过程中使用路易斯酸催化剂可能会使反应体系变得复杂。是否可以原位生成亲电活性更高的酰基化试剂成为化学家们思考的问题。

图3. 插羰-傅克酰基化反应合成芳香酮
2013年,加拿大麦吉尔大学的Bruce Arndtsen教授等人通过钯催化的插羰反应合成了各种芳基取代的酰氯化合物。只有使用大位阻的PtBu3为配体时,插羰中间体tBu3PPd(COAr)Cl可以还原消除得到ArCOCl产物,而CO也能促进这一过程。随后,他们又报道了钯催化杂芳香烃的C-H键羰基化反应,合成了各种杂芳香酮化合物。他们认为反应有可能先通过钯催化的芳基碘和CO的插羰反应生成了酰基碘化物,随后发生杂芳香烃的傅克酰基化反应。但是作者并没有尝试简单的芳香烃,虽然酰基碘化物的活性已经相当高,但在没有傅克反应催化剂的条件下,可能很难和芳香烃发生反应。

图4. 插羰反应合成酰氯。图片来源:J. Am. Chem. Soc., 2013, 135, 16841

图5. 插羰反应合成杂芳香酮。图片来源:J. Am. Chem. Soc., 2015, 137, 12050
既然酰基化试剂可以通过芳基卤化物与CO的插羰反应合成,那么剩下的问题就是如何原位生成亲电活性更高的酰基化试剂,让其可以在没有催化剂的环境下和芳香烃发生傅克酰基化反应。早在1996年,德国斯图加特大学的Franz Effenberger教授等人报道了ArCOOTf参与的傅克酰基化反应合成芳香酮化合物。由于ArCOOTf具有很强的亲电性,反应无需使用催化剂,在室温下DCE溶剂中即可发生,底物可以是普通芳香烃。

图6. ArCOOTf参与的傅克酰基化反应合成芳香酮
基于此,最近Bruce Arndtsen教授团队使用CO为羰基源,通过钯催化的插羰反应原位生成了ArCOOTf,并进一步与芳香烃发生酰基化反应生成芳基酮化合物。相关工作发表在Nature Chemistry 杂志上。

图7. 插羰-傅克酰基化反应合成芳香酮。图片来源:Nat. Chem.
作者先以对甲基碘苯、CO和苯为模板底物,苯为溶剂,在100 ℃下对反应中的催化剂和OTf-源进行了筛选。除AgOTf外,大多数三氟甲磺酸盐都不能促进反应发生。Pd2dba3-膦配体的催化条件在该反应体系中效果并不理想,反倒是不使用配体,仅使用二价钯如[Pd(allyl)Cl]2作为催化剂时反应能以几乎当量的产率生成芳基酮化合物。

图8. 催化剂和三氟甲磺酸盐的筛选。图片来源:Nat. Chem.
接着作者以[Pd(allyl)Cl]2为催化剂、AgOTf为OTf-离子源,考察了反应的溶剂效应、CO和催化剂用量对反应的影响。最优的条件为4 atm. CO、1,2-二氯乙烷为溶剂、0.1 mol%的[Pd(allyl)Cl]2,即使催化剂用量降至0.0075 mol%,反应的产率也并未明显下降。

图9. 溶剂筛选及CO和催化剂用量的考察。图片来源:Nat. Chem.
在优化的条件下,作者对反应的底物普适性进行了考察。各种芳基碘试剂和芳香烃都能顺利地发生反应,不受取代基电性和取代位点的影响。此外,烯基碘试剂和杂环芳烃也能适用于该反应。

图10. 底物范围。图片来源:Nat. Chem.
与他们以往报道不同的是,使用Pd2dba3-膦配体(如tBu3P)催化条件时反应效果并不理想,通过实验他们证明原因在于插羰中间体tBu3PPd(COAr)OTf的还原消除反应需要CO和HOTf的共同参与。

图11. tBu3PPd(COAr)OTf的还原消除。图片来源:Nat. Chem.
令人意想不到的是,他们不使用配体,仅以[Pd(allyl)Cl]2为催化剂时,对溴碘苯与AgOTf在CO参与下可以通过插羰-还原消除生成ArCOOTf。而通常情况下,ArCOPdOTf自身发生还原消除反应并不容易。

图12. 钯催化ArI与AgOTf的插羰偶联。图片来源:Nat. Chem.
同时,他们发现该反应的动力学同位素效应(KIE)为1.24,与ArCOOTf参与的傅克酰基化反应(KIE = 1.27)相同。

图13. 动力学同位素实验。图片来源:Nat. Chem.
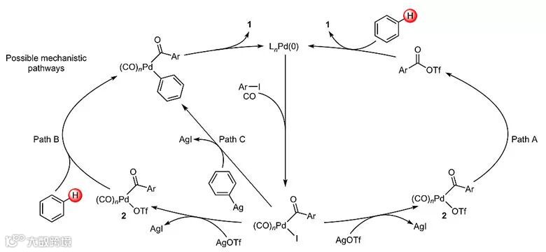
基于以上结果,作者确认该反应机理是芳基碘试剂与AgOTf发生插羰-偶联反应生成ArCOOTf,然后ArCOOTf与芳香烃进行傅克酰基化(Path A)。

图14. 反应可能的机理。图片来源:Nat. Chem.
除此之外,反应在室温条件下使用AgNTf2时也能顺利进行,反应选择性也更好。

图15. AgNTf2参与的插羰-傅克酰基化反应。图片来源:Nat. Chem.
——总结——
Bruce Arndtsen教授团队发展了一种以CO为羰基源的傅克酰基化反应,通过钯催化的插羰策略实现了ArCOOTf的原位生成,并进一步转化为酰基化产物。他们首次观察到ArCOPdOTf的还原消除反应,并提出可行的机理。反应不需要使用配体,催化剂[Pd(allyl)Cl]2的用量可低至0.05 mol%。但是使用过量的AgOTf试剂无疑增加了该反应的成本,可能的改进方案是使用ArOTf替代ArI。

Bruce Arndtsen教授(右一)团队。图片来源:Arndtsen group / McGill University
原文(扫描或长按二维码,识别后直达原文页面):

A general approach to intermolecular carbonylation of arene C–H bonds to ketones through catalytic aroyl triflate formation
Nat. Chem., 2017, DOI: 10.1038/NCHEM.2903
导师介绍
Bruce Arndtsen
http://www.x-mol.com/university/faculty/4599


本文版权属于X-MOL(x-mol.com),未经许可谢绝转载!欢迎读者朋友们分享到朋友圈or微博!
长按下图识别图中二维码,轻松关注我们!

点击“阅读原文”,查看 化学 • 材料 领域所有收录期刊



