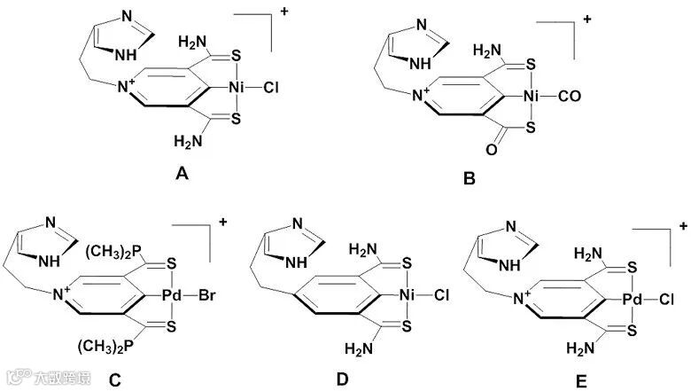
近日,中国科学院化学研究所的杨新征团队受乳酸消旋酶活性中心结构和反应机理的启发,计算设计了一系列有潜力高效催化乳酸消旋反应的蝎型催化剂(图1)。

图1. (SCS)Ni钳形配合物催化的乳酸消旋反应
乳酸是自然界最小的手性分子,在食品、医药、精细化工等领域具有广泛的应用。乳酸有L-与D-乳酸两种光学异构体,其中D-乳酸参与细菌细胞壁的合成。自然界中生物得到乳酸的方式主要有两种,一种是丙酮酸在相应乳酸脱氢酶(L-LDH和D-LDH)的作用下得到对应的乳酸(L-乳酸和D-乳酸),另一种是在乳酸消旋酶(Lactate racemase)的作用下L-乳酸与D-乳酸之间相互转化。最近,Desguin等人解析出植物乳杆菌内乳酸消旋酶的晶体结构,发现其活性中心是SCS配体与Ni螯合的钳形配合物(图2)。这是首次在天然金属酶的活性中心发现的钳形结构,为设计非贵金属小分子乳酸消旋化催化剂提供了重要的借鉴。

图2. Desguin等人报道的乳酸消旋酶活性中心晶体结构
通过对乳酸消旋酶活性中心结构和催化机理进行研究,杨新征团队受蝎子形状的启发,保留配合物中的SCS钳形结构,以与金属配位的碳作为蝎嘴用来“吃”hydride,同时用带有两个碳链的咪唑为蝎尾来“叮”proton,使氢转移反应能够顺利进行,从而构建了一系列具有蝎型结构的配合物(图3),并计算预测了其催化乳酸消旋化反应的潜力。

图3. 杨新征团队提出的蝎型配合物结构
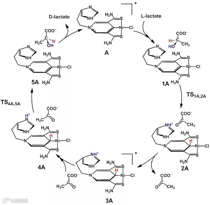
以配合物A为例,其可能的催化乳酸消旋机理如下图4所示。

图4. 配合物A催化乳酸消旋化反应的Proton coupled hydride transfer机理
杨新征团队利用密度泛函理论(DFT)的方法计算预测了上述SCS钳形配合物催化乳酸消旋化反应的详细机理。新设计的结构中能垒最低为25.9 kcal/mol,表明其可在较温和的条件下催化乳酸的消旋化反应。除此之外,这些新型SCS配体的特点在于蝎尾的C−C单键可以自由旋转,使新设计的配合物在反应中具有很大的空间灵活性,有潜力催化更多醇类分子的手性转化。该研究不仅仅提出了可供实验合成的新型催化剂的结构,同时也揭示了SCS钳形配体的潜在用途,为进一步设计不对称氢化、脱氢的非贵金属催化剂提供了良好的借鉴和思路。这一成果近期发表在Chemical Communications 上,文章的第一作者是中科院化学研究所的博士研究生邱兵。
该论文作者为:Bing Qiu, Xinzheng Yang
原文(扫描或长按二维码,识别后直达原文页面):

A bio-inspired design and computational prediction of scorpion-like SCS nickel pincer complexes for lactate racemization
Chem. Commun., 2017, 53, 11410, DOI: 10.1039/C7CC06416K
导师介绍
杨新征
http://www.x-mol.com/university/faculty/31087


本文版权属于X-MOL(x-mol.com),未经许可谢绝转载!欢迎读者朋友们分享到朋友圈or微博!
长按下图识别图中二维码,轻松关注我们!

点击“阅读原文”,查看 化学 • 材料 领域所有收录期刊



