不对称的膦催化在过去的十年内取得了很多突破性进展,有机膦催化的[3+2]、[4+2]、[4+1]等环加成反应已成为合成五元或六元环化合物的强有力工具。但关于七元环或八元环这样的中等环系化合物的合成,特别是手性合成尚无报道。目前极为有限的研究主要致力于七元环化合物的合成,而手性膦催化八元环结构的合成尚未实现。
近年来,新加坡国立大学的卢一新教授课题组首次将α取代的联烯酮应用于膦催化反应,实现了α取代联烯酮的不对称[4+2]环化反应,从而构建一系列氧/氮杂的手性六元环化合物(J. Am. Chem. Soc., 2015, 137, 54; Org. Lett., 2016, 18, 2138; Org. Biomol. Chem., 2016, 14, 5059; Org. Lett., 2017, 19, 4126; Org. Lett., 2017, 19, 3111)。最近,该课题组首次实现了有机膦催化手性八元环结构的合成。利用α取代的联烯酮和α,β-不饱和亚胺作为底物,在氨基酸衍生的手性膦催化下,[4+4]环化反应能够有效地进行,从而得到含有苯并呋喃/吲哚结构的八元氮杂环。该反应具有条件温和、底物适用性好、收率高等优点,产物ee值大多在98%以上。相关论文发表于Angew. Chem. Int. Ed.,第一作者为新加坡国立大学的博士研究生倪幻真。
作者首先选择不饱和亚胺1a和α-甲基取代的联烯酮2a作为底物对反应条件进行筛选,确定了最佳的催化剂为L-苏氨酸衍生的二肽膦4b。在最佳条件下,作者对底物的普适性进行考察,不同芳基取代的α,β-不饱和亚胺都能高效地得到目标产物,ee值大多都在98%左右。随后,作者对联烯酮的底物适用范围进行考察,不同芳基取代的联烯酮都能得到很好的反应结果。烷基取代的联烯酮由于活性太低,反应产率和ee值都大幅度下降。此外,为了进一步展示该[4+4]环加成方法的适用性,作者初步研究了α,β-不饱和亚胺6与联烯酮2a的环加成反应,高效得到了含有吲哚结构的氮杂八元环,ee值都在95%以上。

Figure 1. the formal [4+4] annulation of the allene ketone 2a with different α,β-unsaturated imines (1)

Figure 2. the formal [4+4] annulation of the α,β-unsaturated imine 1a with different allene ketones (2)

Figure 3. formal [4+4] annulation of α,β-unsaturated imines (6) with 2a
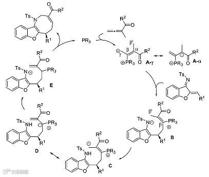
最后,作者提出了反应可能的机理。联烯酮经膦催化剂亲核进攻得到两性离子中间体A,其γ异构体对不饱和亚胺进行共轭加成,得到中间体B。由于Ts保护基的位阻较大,氮离子直接进攻联烯的β-C受到抑制,再加上β'-C上的H具有酸性,容易去质子化,从而发生分子内的质子转移得到中间体C。异构化形成的中间体D随后发生质子转移以及分子内共轭加成得到最终的产物。

Figure 4. reaction mechanism
该论文作者为:Huanzhen Ni, Xiaodong Tang, Wenrui Zheng, Weijun Yao, Nisar Ullah, Yixin Lu
原文(扫描或长按二维码,识别后直达原文页面):

Enantioselective Phosphine-Catalyzed Formal [4+4] Annulation of α,β-Unsaturated Imines and Allene Ketones: Construction of Eight-Membered Rings
Angew. Chem. Int. Ed., 2017, 56, 14222, DOI: 10.1002/anie.201707183
导师介绍
卢一新
http://www.x-mol.com/university/faculty/4384


本文版权属于X-MOL(x-mol.com),未经许可谢绝转载!欢迎读者朋友们分享到朋友圈or微博!
长按下图识别图中二维码,轻松关注我们!

点击“阅读原文”,查看 化学 • 材料 领域所有收录期刊



