多反应位点和多官能团化合物的选择性修饰是增加合成分子多样性的快速途径,由此可以保证一个反应位点发生反应时,其他反应位点得以保留,并进一步用于其他化学转化。然而,区域选择性主要依赖于底物中不同位点反应活性的差异,有时多个反应位点具有相似的活性,往往导致最终得到不同异构体的混合物。而在满足高区域选择性的同时,进一步实现反应的立体选择性则更具有挑战性。例如,人们发展了多种策略来控制前手性烯醇Michael加成反应的区域选择性与立体选择性,然而区域选择性的调控仍旧依赖于底物中不同位点反应活性的差异,通过设计不同的催化剂来实现这一过程目前尚无有效的解决方案。如何通过设计合适的催化剂识别底物中不同反应位点之间微弱的位阻和电荷差异,从而达到区域选择性调控的目的成为研究者需要思考的问题。
最近,日本名古屋大学的Takashi Ooi教授团队通过辛可尼丁衍生的硫脲(1)和手性三氨基膦亚胺(2)两类催化剂不同的位点与立体化学识别特性,分别实现了吖内酯对烯炔基N-酰基吡唑的1,4-和1,6-加成反应。同时,1,6-加成反应还可用于2-氨基-2-脱氧糖、2-氨基-2-脱氧-甲基-D-阿卓呋喃糖衍生物的合成。相关工作发表在Angew. Chem. Int. Ed.上。

图1. 前手性烯醇对烯炔基羰基化合物的Michael加成反应。图片来源:Angew. Chem. Int. Ed.
作者首先选择吖内酯3a与烯炔基N-酰基吡唑4作为模板底物对反应条件进行筛选。当使用叔丁醇钾作为碱时,反应得到的主要是1,4-5a产物,并伴随着少量的1,6-5a产物;使用其他有机碱如TMG、DBU和辛可宁等得到的往往也是不同位点加成的混合物。而当使用辛可尼丁衍生的硫脲1作为催化剂时,反应仅得到1,4-5a产物,未观察到1,6-5a,产物的产率、对映选择性和非对映选择性都非常优秀。当使用手性三氨基膦亚胺2a作为催化剂时,反应得到的主要是1,6-γ-Z,E-5a产物,只有少量的1,4-5a形成,主要产物1,6-γ-Z,E-5a的区域限制性和对映选择性分别为83%和93%。作者继续对反应条件进行优化,着重于调控催化剂的结构,当使用2I作为催化剂时,反应以99%的总产率、93%的1,6-γ-Z,E区域限制性和96%的对映选择性得到目标产物。

图2. 反应条件的筛选。图片来源:Angew. Chem. Int. Ed.
作者首先考察了催化剂1催化的1,4-加成反应,尝试用甲苯替代溶剂乙醚,反应的产率、区域选择性不仅没有影响,产物1,4-5a的对映选择性可以达到99%。作者在该反应条件下对底物的适用范围进行考察,主要探究了吖内酯的R1取代基对反应结果的影响。R1取代基对该反应没有明显的影响,不管是脂肪族取代基还是芳基取代基,不同底物都能以优秀的产率和对映选择性得到目标产物。

图3. 选择性1,4-加成反应的底物适用性考察。图片来源:Angew. Chem. Int. Ed.
作者接着考察了吖内酯3与烯炔基N-酰基吡唑4发生1,6-加成反应的底物适用性。他们主要考察了R1取代基对反应结果的影响,R1取代基同样对反应的产率、区域选择性和对映选择性影响较小。当R1为苯基或N-Ts-3-吲哚苄基取代基时,反应的时间需要大大延长,12 h方能完成。

图4. 选择性1,6-加成反应的底物适用性考察。图片来源:Angew. Chem. Int. Ed.
上述1,6-加成反应的底物拓展使用无取代基的烯炔基N-酰基吡唑4作为底物,作者又考察了多种R2取代基修饰的烯炔基N-酰基吡唑6的底物适用性,不同底物均可以顺利地参与反应。

图5. 选择性1,6-加成反应底物的进一步拓展。图片来源:Angew. Chem. Int. Ed.
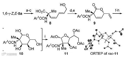
为了证明反应的实用性,作者尝试了利用该方法合成2-氨基-2-脱氧-2-甲基-D-阿卓呋喃糖。1,6-γ-Z,E-5a在酸性条件下以甲醇对吖啶酯部分开环、NaBH4对N-酰基吡唑基团还原以及甲酯皂化三步反应得到中间体8。8通过硒化内酯化、邻位羟基与硒烯基的消除两步反应得到δ-戊内酯9。9接着通过选择性臭氧解、内酯还原以及选择性双羟基化反应等步骤得到最终产物11,其相对构型通过X射线单晶衍射分析得以确认。

图6. 2-氨基-2-脱氧-2-甲基-D-阿卓呋喃糖的合成。图片来源:Angew. Chem. Int. Ed.
总结
Takashi Ooi教授报道了辛可尼丁衍生的硫脲和手性三氨基膦亚胺两种不同的催化体系,可分别用于吖内酯对烯炔基N-酰基吡唑的高立体选择性1,4-和1,6-加成反应。该工作通过设计不同的催化剂,克服了底物中不同位点反应活性的差异对反应区域选择性的影响,成功实现了催化剂调控的不对称区域选择性Michael加成反应。
原文(扫描或长按二维码,识别后直达原文页面):

Catalyst-Enabled Site-Divergent Stereoselective Michael Reactions: Overriding Intrinsic Reactivity of Enynyl Carbonyl Acceptors
Angew. Chem. Int. Ed., 2018, DOI: 10.1002/anie.201800057
导师介绍
Takashi Ooi
http://www.x-mol.com/university/faculty/49551


本文版权属于X-MOL(x-mol.com),未经许可谢绝转载!欢迎读者朋友们分享到朋友圈or微博!
长按下图识别图中二维码,轻松关注我们!

点击“阅读原文”,查看 化学 • 材料 领域所有收录期刊



