催化不对称的氢化反应是有机合成领域重要的里程碑,在石油化工、药物、材料和食品化学中都具有广泛的应用。过渡金属催化剂结合合适的手性配体可以实现高对映选择性及转换数的催化过程。贵金属稀有而昂贵,由此激起人们对无金属参与的催化反应的研究。有机分子催化反应作为近20年来不对称催化的研究热点,在不对称氢化中也发挥了重要的作用,如手性Brønsted/Lewis酸或碱、受阻Lewis酸碱对等。无金属参与的不对称催化氢化反应通常需要在氢化还原前于底物周围诱导手性的活化环境,进而利用非手性的氢供体实现这一过程,发展相应的手性有机分子催化剂便成为研究该类反应重要的思路。
2000年,Dietrich Gudat等人发现1,3,2-二氮杂磷杂环戊烯(DAPs)的P-H键具有负氢特性,并将其应用于醛酮的1,2-还原和肉桂醛的选择性1,4-还原。随后DAP作为催化剂又在重氮化合物的氢化、CO2的氢硅化反应中得到应用。2015年,Rei Kinjo教授发展了更为稳定的烷氧基化的DAP,结合氢供体pinBH实现了酮类底物的催化还原。在此基础上,人们有设计了非手性的DAP催化剂用于α,β-不饱和羰基化合物1,4-还原以及吡啶的硼氢化。瑞士洛桑联邦理工学院的Nicolai Cramer教授长期致力于手性配体的研究,手性DAP作为一类重要的催化剂,可通过相应的双亚胺前体进行制备。最近,他们在前期工作的基础上报道了手性DAP催化亚胺的不对称氢化还原。相关工作发表在Angew. Chem. Int. Ed. 上。

图1. DAP参与的还原反应。图片来源:Angew. Chem. Int. Ed.

图2. 以手性双亚胺作为前体制备DAP催化剂。图片来源:Angew. Chem. Int. Ed.
催化剂的制备过程如图3所示,手性亚氨基氯3在Ni催化剂的作用下进行还原偶联反应得到手性双亚胺中间体4。4接着在PBr3/环己烯存在的条件下得到中间体5,然后与甲醇钠作用得到最终的催化剂P9、P10和P12-P17。

图3. 催化剂的制备。图片来源:Angew. Chem. Int. Ed.
作者选择1a作为模板底物对反应条件进行筛选,主要考察催化剂、溶剂和温度等参数。他们使用无手性的DAP P1作为催化剂,以88%的产率得到消旋产物2a,而不加入催化剂时不发生反应,由此说明该反应中基本没有背景反应发生。作者接着筛选了一系列的手性催化剂P2-P17,权衡产率和对映选择性,催化剂P17脱颖而出,以91%的产率和88.5/11.5的e.r.值得到产物2a。作者又考察了溶剂和反应温度,最终确定最佳反应条件是:甲苯作为溶剂、反应温度为2 ℃、P17作为催化剂。在最佳条件下,反应以97%的产率和93.5/6.5的e.r.值得到目标产物。

图4. 反应条件的筛选。图片来源:Angew. Chem. Int. Ed.
在最佳条件下,作者对底物的适用性进行了考察。他们首先固定Y为吡咯基团,考察R1和R2取代基对反应的影响。当R1为芳基取代基,R2取代基和芳香环上的R3取代基对反应的影响较小,不同底物都能以良好的结果得到产物2a-2k。当R1和R2为环状取代基时,产物2l的对映选择性只有76/24。当R1为脂肪族取代基时,取代基位阻越大,产物的对映选择性越高。作者接着考察Y为芳基取代基或烷基取代基时的反应情况,不同底物也能以良好的结果得到产物2o-2u。而当Y为氨基取代基时,产物的对映选择性出现了不同程度的下降。

图5. 底物适用性的考察。图片来源:Angew. Chem. Int. Ed.
为了对反应产生对映选择性的原因具有更加深入的了解,作者对催化剂P17进行单晶培养,并提出如图6d的不对称还原催化反应模式。

图6. P17的X射线单晶结构和不对称还原催化反应模式。图片来源:Angew. Chem. Int. Ed.
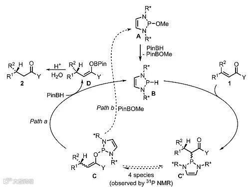
作者根据NMR实验的数据,提出了如下反应机理。首先预催化剂A和PinBH通过σ键复分解得到活化的DAP催化剂B,B接着与α,β-不饱和烯烃进行加成反应得到中间体混合物C和C',C与C'之间存在的动态平衡通过31P NMR得以确认。C接着通过a途径得到烯醇硼化物D和催化剂B,D水解得到最终产物,由此完成催化循环。作者又基于化学计量的A设计了NMR跟踪实验,提出反应还可能通过b途径进行。在该路径中,C与形成的PinBOMe发生σ键复分解反应得到最终的硼氢化产物D和A,也可完成催化循环。由于体系中PinBH的浓度要大于PinBOMe,a途径更加合理,但无法排除b反应途径。

图7. 可能的反应机理。图片来源:Angew. Chem. Int. Ed.
总结
Nicolai Cramer教授发展了一类新型的手性DAP催化剂,实现了α,β-不饱和烯烃的不对称氢化1,4-还原反应。该工作为拓展手性双氮杂磷烯在含磷有机分子催化剂中的应用开辟了道路。作者还将进一步研究该类试剂在其他不对称催化反应中的应用。
原文(扫描或长按二维码,识别后直达原文页面):

Chiral 1,3,2-Diazaphospholenes as Catalytic Molecular Hydrides for Enantioselective Conjugate Reductions
Angew. Chem. Int. Ed., 2018, DOI: 10.1002/anie.201801300
导师介绍
Nicolai Cramer
http://www.x-mol.com/university/faculty/2727


本文版权属于X-MOL(x-mol.com),未经许可谢绝转载!欢迎读者朋友们分享到朋友圈or微博!
长按下图识别图中二维码,轻松关注我们!

点击“阅读原文”,查看 化学 • 材料 领域所有收录期刊



