碳-碳键的构建是合成化学的重要研究内容。醛和烯烃的还原偶联是形成碳-碳键的一种有效途径。通常情况下,醛和烯烃的还原偶联需要过渡金属催化剂或金属有机试剂的参与,适用范围受到限制。发展简单有效的方法实现醛和烯烃的还原偶联是一个重要的课题。
近日,南京大学化学化工学院的黎书华课题组利用量子化学计算结合实验研究的策略,发展了一种吡啶-硼自由基诱导的醛和烯烃还原偶联的新方法,相关成果发表在英国皇家化学会的期刊Chemical Science 上。

Figure 1. 吡啶-硼自由基诱导醛和二芳基烯烃的还原偶联
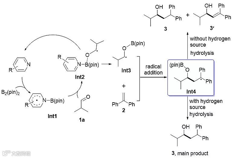
2016年,黎书华课题组利用理论计算预测了“双路易斯碱协同均裂硼-硼键”产生吡啶-硼基自由基的方法。随后,他们与南京大学化学化工学院的朱成建课题组合作,对该反应模式进行了实验验证,并将其用于不饱和化合物的还原(Angew. Chem. Int. Ed., 2016, 55, 5985)。2017年,黎书华课题组通过计算表明,吡啶-硼自由基既可作为硼自由基参与还原反应,也具有碳自由基的活性。他们进一步与南京大学化学化工学院的程旭副教授课题组合作,通过计算与实验结合,发展了一种新的无需金属试剂参与的合成4-取代吡啶的方法(J. Am. Chem. Soc., 2017, 139, 3904)。在前期工作的基础上,黎书华课题组通过计算发现,改变吡啶环上的取代基可以调控吡啶-硼自由基的活性,让其更多地体现出硼自由基的性质。计算表明,硼自由基迁移/碳自由基-烯烃加成的策略有可能实现醛和烯烃的还原偶联反应。

Figure 2. 理论计算提出吡啶-硼自由基催化的醛和二芳基烯烃的还原偶联反应

Figure 3. 底物的适用范围
基于理论计算的反应机理,该工作进一步通过实验研究实现了吡啶-硼自由基诱导的醛和二芳基烯烃的还原偶联。他们以4-(4-苯氰基)-吡啶作为催化剂,一系列的醛均可与二芳基烯烃进行还原偶联。同时,他们通过EPR光谱、自由基钟、核磁共振硼谱和HRMS等实验证实了理论计算所提出的反应机理。此外,作者还将该方法成功地应用于复杂天然产物分子和药物相关分子的结构修饰。
总结
在前期工作的基础上,作者利用吡啶-硼自由基的独特性质,提出硼自由基迁移/碳自由基-烯烃加成实现醛和二芳基烯烃还原偶联的新方法,拓展了硼自由基在合成化学中的应用。该方法无需过渡金属催化剂或金属有机试剂的参与,具有较好的底物适用性及官能团兼容性。
该论文作者为:Jia Cao, Guoqiang Wang, Liuzhou Gao, Xu Cheng and Shuhua Li
原文(扫描或长按二维码,识别后直达原文页面):

Organocatalytic reductive coupling of aldehydes with 1,1-diarylethylenes using an in situ generated pyridine-boryl radical
Chem. Sci., 2018, 9, 3664, DOI: 10.1039/C7SC05225A
导师介绍
黎书华
http://www.x-mol.com/university/faculty/11572
课题组主页
http://itcc.nju.edu.cn/~shuhua/index.html


本文版权属于X-MOL(x-mol.com),未经许可谢绝转载!欢迎读者朋友们分享到朋友圈or微博!
长按下图识别图中二维码,轻松关注我们!

点击“阅读原文”,查看 化学 • 材料 领域所有收录期刊



