金属卡宾络合物可以发生环丙烷化、C-H键插入、1,2-迁移等多种反应,其独特的反应活性吸引了全球众多化学家的关注。该类络合物常见的制备方法是过渡金属催化α-重氮化合物消除氮气的反应。N-磺酰基-1,2,3-三氮唑类化合物作为金属卡宾络合物前体目前已有文献报道,磺酰基的吸电子特性可促使该物种异构化形成α-重氮亚胺,随后在Rh(II)催化剂的诱导下消除氮气,形成α-亚氨基铑类卡宾,该反应过程不可逆,相应的物种表现出很强的亲电性质,可以和各种亲核试剂进行反应,如与苯乙烯反应形成环丙基甲酰胺化合物。
最近,日本京都大学的Masahiro Murakami和Tomoya Miura教授团队报道了手性Rh(II)催化下三氟甲磺酸酐对1H-四氮唑的磺酰化反应,随后发生氮气消除形成α-重氮Rh(II)类卡宾中间体,该物种可作为新型的给体/受体类卡宾,与苯乙烯类底物发生不对称环化反应,高对映选择性地得到3,5-二芳基-2-吡唑啉类化合物。相关工作发表在Angew. Chem. Int. Ed. 上。

图1. Rh(II)类卡宾物种及其参与的不对称脱氮环化反应。图片来源:Angew. Chem. Int. Ed.
作者选择1H-四氮唑1a和苯乙烯2a作为模板底物对反应条件进行筛选,主要考察了不同催化剂和溶剂对反应结果的影响。最终权衡产率和对映选择性,催化剂Rh2[(S)-TCPTTL]4和溶剂乙基环己烷脱颖而出,反应以84%的产率和96%的对映选择性得到目标产物3aa。

图2. 反应条件的筛选。图片来源:Angew. Chem. Int. Ed.
在最佳条件下,作者对底物的适用范围进行了考察。他们首先固定苯乙烯2a,考察四氮唑取代基R1对反应结果的影响。当R1为芳基取代基时,苯环上取代基的位置和电性对反应的影响较小,反应都能以良好的产率和对映选择性得到产物3ba-3ia。此外,芳香杂环取代基修饰的底物参与反应时也能得到76%的产率和93%的对映选择性。然而,当R1为脂肪族取代基时,反应不能得到目标产物。

图3. 四氮唑底物适用范围的考察。图片来源:Angew. Chem. Int. Ed.
作者接着固定1H-四氮唑1a,考察烯烃2的R2取代基对反应结果的影响。他们首先考察R2为芳基取代基的反应情况,从结果可以看出,苯环上间位和对位取代基的电性对反应结果影响很小,不同底物都能以优秀的产率和对映选择性得到产物3ab-3aj。而当R2为邻甲基苯基取代基时,产率和对映选择性都出现了大幅度的下降。此外,芳香杂环取代基修饰的底物参与反应也能得到良好的结果,以80%的产率和92%的对映选择性得到产物3al。而当R2为脂肪族取代基时,反应虽然能以中等产率得到产物3am,但产物是消旋的。

图4. 烯烃底物适用范围的考察。图片来源:Angew. Chem. Int. Ed.
作者设计了对照试验,底物1a和2a在无催化剂参与的情况下混合,能以17%的产率得到产物3aa。该结果表明,无催化剂时,N-磺酰基四氮唑可发生热力学脱氮形成1,3-偶极子,随后与苯乙烯进行1,3-偶极环加成反应。

图5. 空白对照试验。图片来源:Angew. Chem. Int. Ed.
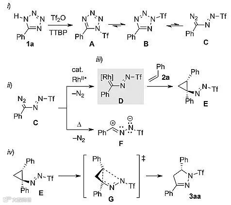
根据实验结果和以往文献的报道,作者提出了如下反应机理。首先四氮唑与三氟甲磺酸酐反应得到N-磺酰基四氮唑1a,物种A、B和C之间存在平衡。中间体C在Rh催化剂的存在下快速脱氮得到Rh类卡宾络合物D,而无催化剂参与时,C会脱氮得到1,3-偶极子F。Rh类卡宾络合物D与苯乙烯2a进行不对称环丙烷化反应得到环丙基偶氮中间体E,随后通过扩环反应得到最终产物3aa。

图6. 可能的反应机理。图片来源:Angew. Chem. Int. Ed.
为了对反应机理得到更加深刻的认识,作者进行了如下验证试验。作者首先使用1l作为底物,与三氟甲磺酸酐混合后,在Rh催化剂的作用下以49%的产率得到四元环化合物4。反应过程中形成α-重氮Rh(II)类卡宾,并进一步对C(sp3)-H键进行插入。第二个验证实验是氘代实验,该结果表明,过渡态H的Cα-Cβ键的没有发生旋转,从而使扩环反应得到很好的立体构型保持。

图7. 机理验证试验。图片来源:Angew. Chem. Int. Ed.
总结
Masahiro Murakami和Tomoya Miura教授报道了1H-四氮唑可作为形成金属类卡宾的前体物种,在Rh催化剂的作用下形成α-重氮Rh(II)类卡宾,并与苯乙烯类底物发生不对称脱氮环化反应,以理想的结果合成3,5-二芳基-2-吡唑啉类产物,该类结构在生物活性分子中发挥着重要的作用。此外,作者还对反应的机理进行了合理的解释。
原文(扫描或长按二维码,识别后直达原文页面):

Enantioselective Denitrogenative Annulation of 1H-Tetrazoles with Styrenes Catalyzed by Rhodium
Angew. Chem. Int. Ed., 2018, DOI: 10.1002/anie.201801283
导师介绍
Masahiro Murakami
http://www.x-mol.com/university/faculty/49632
Tomoya Miura
http://www.x-mol.com/university/faculty/49633


本文版权属于X-MOL(x-mol.com),未经许可谢绝转载!欢迎读者朋友们分享到朋友圈or微博!
长按下图识别图中二维码,轻松关注我们!

点击“阅读原文”,查看 化学 • 材料 领域所有收录期刊



