过渡金属催化的环化反应涉及C-H键及C-C键的活化,成为构建复杂环系结构直接有效的方法之一。日本金泽大学(Kanazawa University)的Chisato Mukai教授课题组近年来致力于Rh催化联烯参与的环化异构化反应。他们早期报道了Rh(I)催化联烯-炔参与的环化过程。该反应从化合物1出发,首先发生氧化环金属化得到重要的铑杂[4.3.0]中间体A,联烯上不同的取代基Z可引导发生不同的C-C键或者C-H键活化,进而得到不同的环系化合物2-6。

图1. Chisato Mukai课题组早期关于联烯、炔参与的环化反应的研究。图片来源:Angew. Chem. Int. Ed.
最近,他们报道了在催化剂[RhCl(CO)2]2的作用下,高炔丙基联烯-炔发生环化异构化,并伴随着高炔丙基官能团中炔的迁移,产生6/5/5三环结构。该反应具有良好的收率,得到的三环衍生物还可以进一步转化成邻位顺式双羟基化的三环化合物。相关工作发表在Angew. Chem. Int. Ed. 上,这篇文章也被评为当期的热点文章。
基于反应中得到的中间体A,作者进一步提出了如图2所示的设想,含有高炔丙基联烯-炔的化合物7通过氧化环金属化得到中间体A',然后发生分子内炔烃的插入得到中间体B,最后还原消除得到6/6/4并环化合物8。

图2. 该工作最初的设想。图片来源:Angew. Chem. Int. Ed.
作者设计了从含有偕二酯基的高炔丙基联烯-炔化合物9出发,体系在1,4-二氧六环溶剂中80 ℃的条件下反应,在10 mol% [RhCl(CO)2]2的作用下,10 min内就可以发生新的环化异构化得到相应的化合物10,10a的产率高达90%。改变R1和R2取代基,不同底物参与反应均可以良好的收率得到产物10b-10f。他们还通过类似物11的X射线单晶衍射结构确定了产物10的结构。可以看出,这与作者最初的设想完全不同,反应没有得到6/6/4并环化合物,而是得到了6/5/5并环化合物。

图3. [RhCl(CO)2]2催化化合物9的环化异构化。图片来源:Angew. Chem. Int. Ed.
有趣的是,R2为正丁基、R1为较大位阻的叔丁基或者TMS时,底物9g和9h在同样的条件下可发生环化,以良好的产率得到6/5/4并环化合物;而当R1为正丁基、R2为TMS时,反应则得到未知的复杂产物。

图4. 化合物9g、9h参与的环化反应。图片来源:Angew. Chem. Int. Ed.
作者又设计了新的底物,将高炔丙基联烯-炔化合物中的Y取代基换为烷基或者苯基。无论Y取代基位阻多大,反应都能以良好的产率得到相应的6/5/5并环化合物14a-d。联烯和炔基之间的偕二甲基至关重要,当底物中不存在偕二甲基时,反应则经过中间体A''发生β-H消除,得到化合物16。

图5. 化合物13和15参与的环化反应。图片来源:Angew. Chem. Int. Ed.
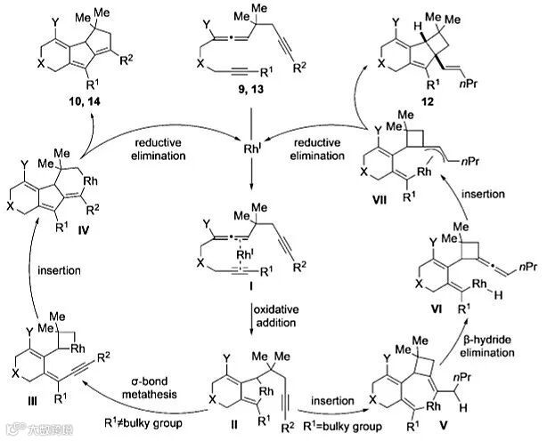
根据以上实验结果,作者提出了可能的反应机理,底物9或者13先和Rh(I)催化剂络合得到I,随后氧化环金属化得到重要中间体,当R1位阻较小时,反应发生σ键复分解得到中间体,III再对炔烃插入得到IV,最后还原消除得到6/5/5并环化合物10或者14;当R1为大位阻的取代基时,II对炔烃插入得到中间体V,β-H消除得到联烯化合物VI,VI进一步发生插入反应、还原消除得到6/5/4并环化合物12。

图6. 反应可能的机理。图片来源:Angew. Chem. Int. Ed.
作者还设计了13C同位素标记的底物13C-9a,在标准条件下得到了相应同位素标记的产物13C-10a,产率高达81%,同位素标记的特征碳原子可以在13C NMR中明确指认,为反应机理提供了强有力的支持。

图7. 同位素标记的底物13C-9a参与的环化异构化。图片来源:Angew. Chem. Int. Ed.
作者还注意到,高炔丙基联烯-炔化合物发生环化反应的产物中含有三个共轭的双键,致使产物较不稳定。因此作者希望对其中的一个双键进行衍生化来破坏这种共轭结构,增加产物的稳定性。含有苯磺酰基联烯基的底物发生环化后再在m-CPBA和稀硫酸的条件下反应,可以得到顺式的双羟基化产物17。对于考察的16种不同的底物,连接基团X可以是包含或者不包含偕二酯基的碳原子,也可以是氮原子或者氧原子。

图8. 高炔丙基联烯-炔化合物的环化反应和产物的双羟基化反应。图片来源:Angew. Chem. Int. Ed.
作者还对高炔丙基联烯-炔化合物的环化反应和双羟化反应过程进行了研究,环化产物在m-CPBA的条件下先发生环氧化,再在酸性水溶液条件下发生环氧开环得到双羟基化产物。而在硫酸的醇溶液中,反应最终得到单羟基化产物19a-c。当底物中Y基团为磷酸酯基或者三氟甲基时,反应也能在同样的条件下得到相应的双羟基化产物21a-c。

图9. 10的双羟基化反应。图片来源:Angew. Chem. Int. Ed.

图10. 高炔丙基联烯-炔化合物20的环化反应和双羟基化反应。图片来源:Angew. Chem. Int. Ed.
最后,作者还尝试了将底物中高炔丙基联烯基和炔基连接的碳脂肪链长度增加到4个碳。反应从化合物22出发,在标准条件下能以61%的收率得到7/5/5三环化合物23,由此实现了该类反应在多环体系构建中的进一步扩展。

图11. 高炔丙基联烯-炔化合物22的环化反应和双羟基化反应。图片来源:Angew. Chem. Int. Ed.
总结
Chisato Mukai教授课题组报道了Rh(I)催化高炔丙基联烯-炔的环化异构化反应,由此得到全新的6/5/5三环化合物。基于对13C同位素标记底物的控制实验,作者还提出了合理的反应机理。反应得到的三环衍生物还可发生进一步转化,形成相应的邻位顺式双羟基化三环化合物。该反应条件温和,具有良好的产率和底物适用性,可用于构建复杂的6/5/5三环化合物及7/5/5三环化合物,在复杂多环体系的构建中具有重要的意义。该工作还有一点值得我们学习的是,反应的产物与作者最初提出的设想并不相同,但作者继续对新的反应产物进行深入研究,才得到一系列后续的结果。有时候正是基于反应的不可预测性,我们才得以发现新的反应。
原文(扫描或长按二维码,识别后直达原文页面):

Rhodium(I)-Catalyzed Cycloisomerization of Homopropargylallene-Alkynes through C(sp3)-C(sp) Bond Activation
Angew. Chem. Int. Ed., 2018, DOI: 10.1002/anie.201713096


本文版权属于X-MOL(x-mol.com),未经许可谢绝转载!欢迎读者朋友们分享到朋友圈or微博!
长按下图识别图中二维码,轻松关注我们!

点击“阅读原文”,查看 化学 • 材料 领域所有收录期刊



