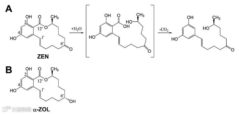
玉米赤霉烯酮(zearalenone, ZEN)是一种由镰刀菌属真菌分泌的类雌激素霉菌毒素,最初从发霉玉米中分离得到,是目前全球污染最严重的三种霉菌毒素之一。玉米赤霉烯酮在各种谷物饲料中广泛存在,可导致饲养动物早熟、生殖周期紊乱等雌激素紊乱症,给种植业和养殖业带来巨大的损失,进而引起人类雌激素相关的疾病,造成严重的经济损失和公共安全问题。ZEN具有二羟基苯甲酸内酯结构,被动物摄入后,ZEN还会被肠道微生物转化成毒性更大的衍生物α-ZOL(图1),其与雌激素受体的结合力比ZEN高10-20倍,雌激素毒性高90倍。
目前,人们已经针对玉米赤霉烯酮开发出一系列常用的物理和化学脱毒法,这些方法常会带来脱毒不彻底、引入其他毒性物质以及营养物质流失等问题。生物法脱毒专一性强,脱毒相对彻底,是目前广受关注的霉菌毒素降解方法。目前报道的唯一一种玉米赤霉烯酮降解酶来源于粉红粘帚霉的ZHD101,这种酶催化ZEN酯键断裂,形成非毒性产物(图1)。ZHD101降解α-ZOL的方式与ZEN类似,但活性不足其一半。由于ZHD101催化活力较低、底物适用范围窄,大规模的推广应用还存在相当的阻力。

图1. ZEN、α-ZOL的分子结构及ZHD101催化反应
中国科学院天津工业生物技术研究所的郭瑞庭研究员课题组在玉米赤霉烯酮降解酶的蛋白结构和分子改造方面取得进展,在ACS Catalysis上发表重要文章。为了开发高效的ZEN生物降解的方法,作者在GenBank数据库中挖掘出一种来源于Ramichloridium mackenziei的ZEN降解新酶RmZHD,其与ZHD101的氨基酸相似性达63.4%,但活力是ZHD101的1.66倍(针对底物ZEN)和1.2倍(针对底物α-ZOL),因此具有更高的应用价值。
为了分析降解酶高活性的分子基础以及进一步提高其对高毒性衍生底物α-ZOL的活力,作者解析了RmZHD及其底物的复合体结构。经过分析发现,RmZHD采取一种典型的α/β水解酶构象,整体结构由一个催化核心区和帽子结构域组成。在两个结构域中间是底物结合口袋和催化三联体S102-H242-E126(图2A)。RmZHD的整体结构和底物结合氨基酸及ZHD101类似,催化三联体保守。二者较大的区别出现在帽子区域,尤其是β6-α5环更向内摆动,离底物结合口袋更近(图2B)。尤其当RmZHD结合底物以后,该环距离底物更近。其中一个氨基酸N134与ZEN的苯环O4形成新的氢键,而在ZHD101中的相应位置是Leu,在底物结合后没有发生构象变化(图2B)。将N134突变为Leu或Ala后,降解酶的活性大幅度降低,展现出该位置氨基酸在催化中的重要作用(图3)。


图2.(A)RmZHD的整体结构(蓝色)与ZHD101(桔色)的比较;(B)结合底物后β6-α5环的构象变化;左:RmZHD结合底物前(灰色)后(绿色)β6-α5环和N134的构象变化;右:RmZHD(绿色)和ZHD101(桔色)结合底物后的差别。

图3. 突变体活性的测定
另一个重要的区别是底物结合口袋的入口处氨基酸Y160在RmZHD中采取“关闭”的构象,而在ZHD101中相应位置的Val采取“打开”的构象(图4A)。Y160与底物ZEN形成π堆叠,当其突变为Ala后,活性降低了50%,表明这种π堆叠对催化活性具有重要的作用;但突变成Trp后,活性大幅度降低,表明Trp的空间位阻可能对活性有影响;而突变为Gly后,由于没有侧链,环结构摆动较大,活力较低,表明160位氨基酸残基的侧链具有重要的作用(图3)。上述结果说明Y160是导致RmZHD具有较高活性的重要原因。但对于底物α-ZOL来说,由于C6'位置是羟基,导致内酯环不是平面结构、摆动较大,且C6'位羟基距离Y160位置较近,形成较大的空间位阻,可能是导致该酶对α-ZOL较低的活性的原因(图4B)。为了验证该假设,作者测定了该位点突变体对底物α-ZOL的活力,其中Y160A的活性比野生型提高了70%。通过对该突变体进行结构解析,他们发现Tyr造成该位置的空间位阻减小,活性中心的结构更适合α-ZOL的结合和降解。ITC的结果也表明Y160A突变体对α-ZOL的亲和性提高。

图4. 底物和160位氨基酸的相互作用。(A)ZHD101(左)和RmZHD(右)中,160位的氨基酸采取不同的构象;(B)RmZHD中,Y160与底物ZEN形成π堆叠,而与底物α-ZOL形成较大的位阻。
该研究发现的新型ZEN水解酶RmZHD具有更高的应用潜力。另外,基于结构信息的分子改造大大提高了RmZHD对ZEN高毒性衍生物α-ZOL的活性。该研究结果为ZHD家族酶的催化机理和底物结合模式提供了深入的认识,对RmZHD在饲料工业的应用,实现玉米赤霉烯酮及其衍生物的完全脱毒具有重要的意义。中科院天津工业生物研究所的郑迎迎副研究员、天津科技大学联合培养的博士生刘文婷、中科院天津工业生物研究所的台湾青年访问学者陈纯琪博士为RmZHD结构与分子改造的共同第一作者。
该论文作者为:Yingying Zheng, Wenting Liu, Chun-Chi Chen, Xiangying Hu, Weidong Liu, Tzu-Ping Ko, Xueke Tang, Hongli Wei, Jian-Wen Huang and Rey-Ting Guo
原文(扫描或长按二维码,识别后直达原文页面):

Crystal Structure of a Mycoestrogen-Detoxifying Lactonase from Rhinocladiella mackenziei: Molecular Insight into ZHD Substrate Selectivity
ACS Catal., 2018, 8, 4294, DOI: 10.1021/acscatal.8b00464
导师介绍
郭瑞庭
http://www.x-mol.com/university/faculty/43015


本文版权属于X-MOL(x-mol.com),未经许可谢绝转载!欢迎读者朋友们分享到朋友圈or微博!
长按下图识别图中二维码,轻松关注我们!

点击“阅读原文”,查看 化学 • 材料 领域所有收录期刊



