官能化的N-杂芳香族化合物是药物和农用化学品分子中重要的结构之一。尽管人们已经对N-杂芳香族化合物的官能化过程进行了深入研究,并发展了多种方法,但过渡金属催化C-H键的活化官能化,仍然是无需底物预官能化、合成步骤最短、副产物最少、原子经济性最好的方法。将非极性的C=C和C≡C键插入吡啶及其衍生物的C-H键需在过渡金属催化剂的作用下进行,由此分别得到邻位、间位和对位烷基或者烯基修饰的吡啶衍生物。低价后过渡金属催化体系,如Ni(0)络合物与路易斯酸活化试剂结合、PCy3配位的[RhCl(coe)2]2可作为催化剂用于烷基化和烯基化反应,而镧系元素金属和前过渡金属的烷基配合物或氢化物可通过σ-键复分解途径催化邻位烷基化反应。非极性的不饱和底物插入吡啶衍生物的C-H键已经发展得较为成熟,而将极性不饱和键,如C=N、C≡N及C=O键插入C-H键仍旧具有挑战性。
近日,日本大阪大学化学系的Hayato Tsurugi和Kazushi Mashima教授课题组报道了氨基钇配合物Y(NBn2)(L1)(THF)2(8, L1=N,N’-双(2,6-双异丙基苯基)乙二胺)催化2-取代吡啶衍生物和非活化亚胺的反应,实现了吡啶邻位C(sp2)-H键的直接氨基烷基化反应。他们还仔细研究了反应的机理,确定该反应对催化剂的浓度呈一级相关,与亚胺的浓度无关,对反应体系中吡啶底物的浓度呈二级相关。他们还将光学纯的N,N'-二芳基-1,2-二苯基乙二胺配体与Lu(CH2SiMe3)3(THF)2结合,能以中等的产率实现不对称催化的C(sp2)-H键氨基烷基化反应。相关工作发表在J. Am. Chem. Soc. 上。

图1. 过渡金属催化吡啶衍生物的烷基化和烯基化反应。图片来源:J. Am. Chem. Soc.
作者发现第3族金属和镧系元素的均配型三酰胺络合物可作为催化剂,在HNBn2的存在下将非活化的亚胺选择性插入2-芳基吡啶吡啶环的邻位C-H键。

图2. 过渡金属催化2-苯基吡啶和亚胺反应不同的区域选择性。图片来源:J. Am. Chem. Soc.
如三(双三甲基硅基氨基)钇Y[N(SiMe3)2]3(1)或钇配合物Y[N(SiMe3)2]2(NBn2)(THF)(2)可用作2-取代吡啶与亚胺邻位C-H键氨基烷基化的催化剂,,其中配合物2比配合物1具有更高的活性。作者利用1当量不同的螯合双齿二胺及三齿三胺作为配体分别与Y(CH2SiMe3)3(THF)2(3)混合,得到的配合物用以考察邻位C-H键氨基烷基化反应的催化活性。他们发现N,N'-双(2,6-二异丙基苯基)乙二胺(L1)是效果最好的螯合配体。

图3. 钇配合物的合成。图片来源:J. Am. Chem. Soc.
作者接着对不同二级胺进行筛选,发现加入HNBn2能以92%的产率得到目标产物6aa;当加入HN(SiMe3)2时,反应的产率降低至66%。他们将配合物7和HNBn2混合得到配合物8,在8的催化下,反应无需其他添加剂,也能以94%的产率得到目标产物(entry 7)。

图4. 添加剂的筛选。图片来源:J. Am. Chem. Soc.
有了最佳的反应条件,作者在10 mol%的配合物7和10 mol%的HNBn2存在下,固定底物2-苯基吡啶化合物4a,对不同亚胺化合物的反应活性进行考察,反应以氘代苯作为溶剂在100 ℃下进行。他们发现,不同的R1和R2取代基对反应结果存在较大的影响。当R1为环己基、R2为正戊基时,产率急剧下降,小于5%,可能是由于钇配合物优先和亚胺反应导致催化剂分解(entry 4)。当R1和R2都为叔丁基时,由于位阻原因,反应也不能发生(entry 6)。

图5. 亚胺底物适用范围的考察。图片来源:J. Am. Chem. Soc.
作者又选定R1和R2都为环己基的亚胺化合物5a,对吡啶类底物的适用范围进行考察。十几种底物都取得了中等到优秀的产率,除了烷基、芳基取代的吡啶外,喹啉、异喹啉、噻唑、苯并咪唑等也适用于该反应,喹啉底物参与反应的产率较低,但未发现区域异构体生成(6ia)。

图6. 吡啶底物适用范围的考察。图片来源:J. Am. Chem. Soc.
作者在101~120 °C的范围内利用1H NMR监测反应过程,并测定Kobs,通过Eyring分析得到反应的热力学参数为:∆H‡= 50.0±3.1 kJmol-1,∆S‡ = -144.2±8.0 JK-1mol-1,∆G‡(298 K) = 93.0±5.5 kJmol-1。结果表明,包含两分子4a的五配位中间体可能在C-H键活化过程中起到关键作用。

2-苯基吡啶在不加入HNBn2的情况下5种不同温度下的二级曲线

不加入HNBn2的情况下氨基烷基化反应的Eyring图
图7. 反应动力学的研究。图片来源:J. Am. Chem. Soc.
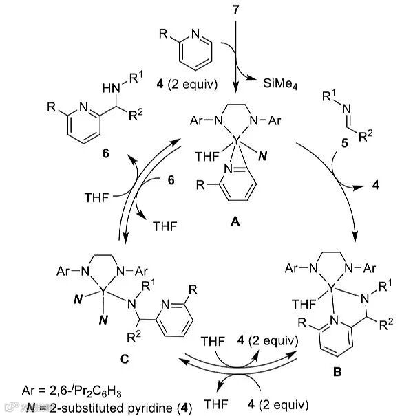
根据实验结果,作者还提出了反应可能的机理,钇配合物7先与2当量的吡啶衍生物结合,消除四甲基硅,生成新的配合物A。A和亚胺5反应,消除一分子4,同时生成配合物B,B再和2当量的4反应,消除THF,同时生成配合物C。C和THF反应生成产物6,同时重生配合物A完成催化循环。

图8. 不加入HNBn2的情况下反应可能的机理。图片来源:J. Am. Chem. Soc.
为了进一步验证以上机理,作者还设计了一系列的控制实验。钇配合物7和1当量的2-乙基吡啶4e反应,可生成η3-吡啶甲基钇配合物9和η2-钇配合物10,其中9和10的比例为7:1,9和10的混合物与5i反应,会以85%的收率得到单一的五元环鳌合的配合物11,9和10的混合物与氨基烷基化的产物6ei反应,能定量地得到配合物11,而4e和5i可以在10 mol%配合物11的作用下反应24小时,以85%的产率得到相应的产物6ei。配合物11的结构也通过X射线单晶衍射分析予以确证。


图9. 控制实验。图片来源:J. Am. Chem. Soc.

图10. 配合物11的单晶结构。图片来源:J. Am. Chem. Soc.
作者又研究了HNBn2存在时的反应动力学,结果表明,HNBn2在1.0~1.5当量范围内对反应具有明显的促进作用。HNBn2作为游离的二级胺,可通过对B物种质子解作用提高反应的速率,由此得到配合物8'和产物。此外,B物种易于转化为8'也是提高催化活性的另一个因素。
作者也提出了HNBn2存在时的反应机理,配合物7先和HNBn2反应生成配合物8',8'和THF反应消除HNBn2,同时生成配合物A。A再和亚胺5反应,消除4,同时生成配合物B,B再和HNBn2反应生成产物,同时重生配合物8',由此完成催化循环。

图11. HNBn2存在时可能的反应机理。图片来源:J. Am. Chem. Soc.
最后,作者还尝试了设计该反应的不对称催化过程,在钇配合物3的条件下,作者对不同手性配体L*进行了筛选,使用L9可以得到最佳的结果。除了钇配合物,Lu配合物和L9组合也能得到较好的结果,反应的产率为57%,ee 值为78%。

图12. 不对称催化过程的条件筛选。图片来源:J. Am. Chem. Soc.
Lu配合物和手性配体L9在苯作为溶剂时室温下反应6小时,能得到新的Lu配合物12,并通过X射线单晶衍射分析确定了其结构。12和HNBn2在苯作为溶剂时室温下反应2小时,可生成新的配合物13,13可以催化吡啶衍生物的不对称氨基烷基化反应。他们还对底物的适用范围进行考察,2位包含不同取代苯基的吡啶化合物和两当量的亚胺5a反应,能以中等的产率和较好的ee 值得到手性的氨基烷基化产物6。



图13. 不对称催化过程的控制实验及12的单晶结构。图片来源:J. Am. Chem. Soc.

图14. 不对称催化反应的底物适用性考察。图片来源:J. Am. Chem. Soc.
总结
Hayato Tsurugi和Kazushi Mashima教授课题组以N,N’-二芳基乙二胺和二苄基胺配位的钇配合物作为催化剂,实现了非活化亚胺对2-取代吡啶衍生物邻位C(sp2)-H键的氨基烷基化对。作者还利用相应的手性配体实现了不对称催化过程,得到相应的手性产物,对映体选择性中等至良好。虽然该工作展示的例子不算多,对映选择性也有待进一步提高,但这是第一例钇配合物催化吡啶衍生物发生邻位氨基烷基化的工作,为后续极性不饱和键插入C-H键反应的开发提供了借鉴。
原文(扫描或长按二维码,识别后直达原文页面):

Direct ortho-C–H Aminoalkylation of 2-Substituted Pyridine Derivatives Catalyzed by Yttrium Complexes with N,N′-Diarylethylenediamido Ligands
J. Am. Chem. Soc., 2018, 140, 7332, DOI: 10.1021/jacs.8b03998


本文版权属于X-MOL(x-mol.com),未经许可谢绝转载!欢迎读者朋友们分享到朋友圈or微博!
长按下图识别图中二维码,轻松关注我们!

点击“阅读原文”,查看 化学 • 材料 领域所有收录期刊



