对科学家来说,在纳米层面上合成精确定义的结构组件(building block)非常具有挑战性。但在生物系统中,这只是普通得不能再普通的常规任务。蛋白质可以在定向非共价键相互作用下组装成更复杂的结构,以执行相应的生物学功能,例如肌动蛋白组装成肌动蛋白纤维。不同于蛋白质组装过程的复杂定向相互作用,DNA的组装专一性更高,更容易预测,可以用于纳米结构组件的合成。例如DNA双螺旋中两条寡核苷酸链,如果把它们分开并接到需要修饰的主体上,通过双螺旋的自组装就可以调控修饰主体的方向和排列。具有各向异性并通过DNA功能化的纳米颗粒,能够展现定向结合的特点。
美国西北大学的Chad A. Mirkin教授课题组的一个研究方向就是功能化蛋白质的组装。最近,该课题组在J. Am. Chem. Soc. 上发表了新进展,通过少量寡核苷酸修饰蛋白质的表面,得到可定向结合的功能化蛋白质组装体。具体来说,仅仅需要将少量互补寡核苷酸分别连接到蛋白质表面(每个蛋白质上下两面连接同一种寡核苷酸),通过DNA的定向结合,就可实现蛋白质的定向组装,形成一维蛋白质材料。这一策略具有通用性,对于一些表面无法容纳太多DNA修饰的小型蛋白质的功能化具有重要的指导意义。

DNA修饰蛋白质实现蛋白质定向组装。图片来源:J. Am. Chem. Soc.
作者预测,使用一对短于4纳米的寡核苷酸(10碱基对),将其接到蛋白质表面,即可提供必要的驱动力来使DNA修饰的蛋白质定向组装。为了验证这一假想,他们设计了一个一维线性二价(bivalent)DNA-蛋白质结合体。所谓二价,指的是这种结构组件可以与另一个结构组件发生两次结合。作者选择的模型蛋白质是β-半乳糖苷酶(β-galactosidase,βGal),它具有D2对称性,在之前的研究中发现它在DNA功能化过程中足够稳定。作者对其进行了突变以获得便于研究的蛋白质突变体βGal1D,βGal1D再与马来酰亚胺封端的长度为10碱基对的一对互补寡核苷酸(DNA A和DNA B)分别反应,得到两种DNA-蛋白质结合体(βGal1D-DNA A和βGal1D-DNA B,下图B)。对于蛋白质突变以及随后的修饰过程,作者都进行了相关表征。

βGal1D及其DNA功能化。图片来源:J. Am. Chem. Soc.
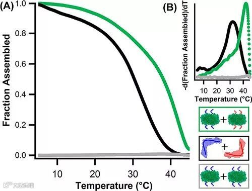
接着,为了表征DNA-蛋白质结合体的温度相关的结合能力并了解其结合行为,作者采用了给体淬灭荧光共振能量转移技术来进行熔化实验。由于DNA链与蛋白质表面靠的非常近,作者认为这种面对面的结合会导致显著上升且变窄的熔化转变。实验数据证实了这种推测,相较于游离DNA双螺旋的熔点(Tm)31.7 ℃和半峰全宽(fwhm)温度11.8 ℃,DNA-蛋白质结合体Tm为41.5 ℃,fwhm温度为8.1 ℃。

βGal1D-DNA温度依赖的结合。图片来源:J. Am. Chem. Soc.
然后作者使用透射电镜(TEM)来检测DNA修饰是否能够得到定向二价组装的蛋白质。作者推测这样面对面的结合是热力学决定的结果,因此DNA和蛋白质之间需要必要的时间和温度来进行重组。作者发现,室温下的组装只能得到混乱的聚集体,于是他们又在低温条件下进一步研究DNA-蛋白质结合体的组装。冷冻电镜(Cryo-TEM)、凝胶电泳、负染色透射电镜确认了组装体的方向符合作者设计,证实他们可以程序化控制DNA和蛋白质的定向相互作用。

βGal1D-DNA定向组装及冷冻电镜、负染色透射电镜图。图片来源:J. Am. Chem. Soc.
总结
Chad A. Mirkin教授等人合成并表征了DNA功能化蛋白质结构组件,可发生程序化受控的定向组装,得到一维蛋白质材料。他们发现只需少量寡核苷酸即可实现这种定向组装,为细胞外合成生物活性结构找到了一种可广泛应用的新方法。同时,该研究也展现了超分子组装策略对一维蛋白质材料合成的贡献。
原文(扫描或长按二维码,识别后直达原文页面):

DNA-Functionalized, Bivalent Proteins
J. Am. Chem. Soc., 2018, 140, 6776–6779, DOI: 10.1021/jacs.8b03403
导师介绍
Chad A. Mirkin
http://www.x-mol.com/university/faculty/386
(本文由叶舞知秋供稿)


本文版权属于X-MOL(x-mol.com),未经许可谢绝转载!欢迎读者朋友们分享到朋友圈or微博!
长按下图识别图中二维码,轻松关注我们!

点击“阅读原文”,查看 化学 • 材料 领域所有收录期刊



