催化是化学领域研究的热点,常见的催化剂包括金属及其配合物、有机小分子、酶(生物催化剂)及光催化剂等。目前,所有类型的催化剂均可以实现两种及以上的组合,进而实现串联反应过程。生物系统能够依赖兼容性和选择性良好的多种酶同时催化合成复杂的天然产物及代谢产物。为此,研究者将这些生物系统的优点与人工化学催化反应相结合,设计出顺序(sequential)、并发(concurrent)和协同(cooperative)的化学-酶反应(chemoenzymatic reaction)参与催化过程(图1)。协同的化学-酶反应得到的产率和产物的选择性往往高于以相应的底物参与顺序反应的结果。然而,金属、有机小分子等化学催化剂的反应条件与酶促反应差距很大(如温度、溶剂、pH等),导致协同反应很难进行。在过去的30年里,协同的化学-酶反应仅在消旋醇和胺的化学-酶动态动力学拆分和需要同时再生辅因子的酶促反应中得到应用。发展新型的化学-酶协同反应以实现有价值的化学转化十分有必要。

图1. 不同形式的化学-酶反应。图片来源:Nature
近期,美国伊利诺伊大学香槟分校的赵惠民(Huimin Zhao)教授和加州大学伯克利分校的John F. Hartwig教授等人合作报道了一种结合了光催化和酶催化的不对称合成反应,烯烃发生异构化并进行碳-碳双键的还原,由此高选择性地得到单一对映异构体产物。该方法可实现烯烃异构体混合物的立体会聚式还原,并展示了光催化剂与酶良好的兼容性(图2)。相关论文发表在Nature 上,Zachary C. Litman博士与Yajie Wang博士为并列第一作者。

图2. 结合光催化和酶催化实现不对称合成。图片来源:Nature
光催化反应通常可以在室温或接近室温的条件下发生,这就为与酶催化向结合提供了可能。除此之外,光催化反应还可通过电子及能量转移过程产生在水体系中稳定并且可与酶分子中官能团兼容的中间体,从而促进后续反应进行。为了研究化学催化与酶催化结合的效果,作者以2-苯基-丁-2-烯二酸二甲酯(1a)作为模板底物进行考察。YersER是一种从伯氏耶尔森菌分离出来的烯还原酶(ene-reductase, ER),当反应体系中存在葡萄糖脱氢酶进行辅因子再生时,它能以高产率和高对映选择性还原(E)-1a为2a。由于这种烯还原酶无法还原(Z)-1a,就需要找到一种能催化烯烃异构化的催化剂,同时还得与烯还原酶兼容。由于(Z)-1a在室温条件下只有极少量发生热异构化,而近期报道的一些光催化剂可以在室温或接近室温的条件下催化烯烃异构化,因此作者认为可以将烯烃的光催化异构化与酶促还原反应相结合,发展一种新型的化学-酶协同反应。

赵惠民教授(左)和John F. Hartwig教授(右)。图片来源于网络
作者考察了(Z)-1a在适用于烯还原酶还原烯烃的混合溶剂中发生光异构化的情况,当在半亲水溶剂(DMSO : Tris buffer = 1: 9)中只有蓝光照射(450-470 nm)而没有光催化剂存在时,体系仅有少量(Z)-1a异构化(图3,entry 2),而如果溶剂中添加光催化剂核黄素(Ribo)时异构化率极大增加,但是此时只能得到中等产率的2a(图3,entry 3)。作者考虑产率低的原因可能是核黄素与YersER上的黄素结合位点的竞争性结合会限制酶的活性。因此作者希望找到一种光催化剂,既能催化烯烃异构化,又不会影响YersER或者辅因子再生体系的活性。作者尝试了一系列有机光催化剂和有机金属光催化剂(图3,entry 4-12),大部分情况下反应都有超过40%的(Z)-1a转化为(E)-1a,E/Z 比例最高超过8:1。另外,作者还发现增加光催化剂的负载量和光照强度也会提高光异构的转化率。当光催化剂与酶协同反应时,使用不同种类的光催化剂,2a的产率差异也较大,光催化剂为黄素单核苷酸(flavin mononucleotide, FMN)以及Ir(III)配合物(Ir-16、Ir-67、Ir-80)时,能获得较高的烯烃异构化率和2a产率。

图3. 不同光催化剂下(Z)-1a同时进行光催化异构化和酶促还原反应。图片来源:Nature
为了证明该方法的普适性,作者又考察了其他类似化合物的还原情况(图4)。在光催化剂为Ir-16或者FMN时,底物(E)-1b至(E)-1f的异构化率和产物转化率都很高,不论底物含有给电子官能团还是吸电子官能团。值得注意的是,Weinreb酰胺修饰的底物(Z)-1g和(Z)-1k依然可以还原,这在以前的工作中尚无报道。作者还设计了对照试验(图4b),证明光催化异构化和酶促还原反应顺序进行时,产率比协同反应低,这也反应了协同反应的优势。

图4. 光催化和酶催化协同反应的底物普适性。图片来源:Nature
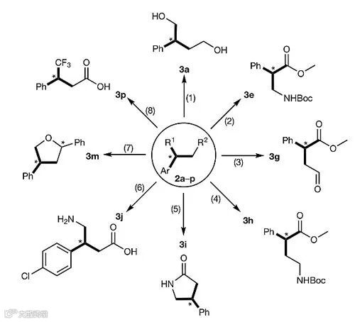
而且,由光催化异构化和酶促还原协同反应系统获得的手性化合物可进一步转化为多种生物活性分子和有价值的合成中间体(图5),这意味着此方法在包括制药在内的多个领域中都有广阔的应用前景。

图5. 底物的衍生化。图片来源:Nature
——总结——
这种光催化与酶催化的协同反应体系得以成功构建的原因有两点:(1)光化学反应通常在室温或接近室温的条件下发生,与酶促反应的条件一致;(2)光催化反应通常涉及电子和能量转移,产生的中间体对水稳定,并可与酶促反应兼容。该工作证实了光催化和酶催化反应结合起来,完全可以用于不对称合成。赵惠民教授表示,“这个工作只是一个例子,我们希望探寻更多的化学-酶反应体系,用于不同类型的反应。目前人们发展了很多新型的光催化剂,酶也有很多种,我认为这将有助于开发出新的反应体系将两者结合来制备更多有用的化合物。”[1]
比这个工作(图6a)稍微早一点,另外两个工作也把光催化和酶催化结合起来用于有机合成。巴塞尔大学的研究者将水溶性铱催化剂与单胺氧化酶(MAO-N)结合,将胺化合物的外消旋混合物转化为单一对映体(图6b,Chem. Sci., 2018, 9, 5052)。伦敦国王学院的研究者使用硫醇与烯酮的光催化反应生成酮中间体,随后再被酮还原酶原位还原,对映选择性地产生巯基醇产物(图6c,Angew. Chem. Int. Ed., 2018, 57, 5803)。或许,光催化携手酶催化真的可以为不对称合成开创一片“新天地”。

图6. 光催化与酶催化的结合。图片来源:Nature [2]
原文(扫描或长按二维码,识别后直达原文页面):

Cooperative asymmetric reactions combining photocatalysis and enzymatic catalysis
Nature, 2018, 560, 355, DOI: 10.1038/s41586-018-0413-7
参考资料:
1.https://www.igb.illinois.edu/article/unique-combination-catalysts-opens-doors-making-useful-compounds
2.https://www.nature.com/articles/d41586-018-05933-0
(本文由Sunshine供稿)

本文版权属于X-MOL(x-mol.com),未经许可谢绝转载!欢迎读者朋友们分享到朋友圈or微博!
长按下图识别图中二维码,轻松关注我们!

点击“阅读原文”,查看 化学 • 材料 领域所有收录期刊




