有机硼化合物在材料、医药等领域都具有重要的应用。其中α-硼取代的羰基化合物同时含有硼基和羰基两种易于转化的官能团,近年来成为一种重要的合成砌块。目前对于该类化合物的合成主要有两种方法,一种方法是由炔烃出发经硼氢化和氧化重排的方法得到,该方法需要多步转化且官能团兼容性差,因而该方法应用较少;另一种方法是金属催化卡宾对B‒H键的插入反应。但由于重氮化合物通常合成困难、毒性较高、稳定性差,该方法在实际应用中也受到诸多限制。发展高效实用的方法,合成新型的α-硼取代的羰基化合物,拓展其应用范围,是该领域研究的重点。
最近,南开大学的周其林、朱守非团队发展了金催化炔烃的氧化硼化反应,为α-硼取代羰基化合物的合成提供了高效的方法。他们以简单的炔烃、硼烷加合物为起始原料,吡啶氮氧化物为氧化剂,在金催化剂的作用下,经一步反应高效地合成了α-硼取代羰基化合物。该反应的底物适用范围广,官能团兼容性好,对于芳基、烷基和天然产物衍生的炔烃都能取得不错的结果(46-93%的收率)。反应产物α-硼烷基酮具有较好的应用前景,可以转化为光学活性的1,2-二醇和结构多样的2-硼基-1-醇化合物等。

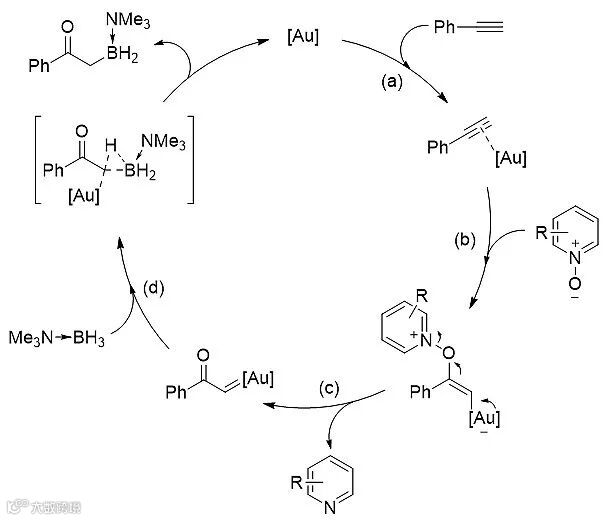
他们还对反应机理进行了推测:首先金催化剂与炔烃进行配位,活化炔烃,随后吡啶氮氧化物进攻炔烃,生成烯基金中间体,离去一分子吡啶,生成α-羰基金卡宾。金卡宾与B‒H键发生插入反应生成目标产物。B‒H键插入过程可能经历了三元环过渡态的协同过程。

这一成果近期发表在ACS Catal.上,文章的第一作者是南开大学的博士研究生杨吉民。
该论文作者为:Ji-Min Yang, Yu-Tao Zhao, Zi-Qi Li, Xue-Song Gu, Shou-Fei Zhu, Qi-Lin Zhou
原文(扫描或长按二维码,识别后直达原文页面):

Gold-catalyzed oxidative coupling of terminal alkynes and borane adducts: efficient synthesis of α-boryl ketones
ACS Catal., 2018, 8, 7351, DOI: 10.1021/acscatal.8b02052
导师介绍
周其林
http://www.x-mol.com/university/faculty/11976
朱守非
http://www.x-mol.com/university/faculty/11980

本文版权属于X-MOL(x-mol.com),未经许可谢绝转载!欢迎读者朋友们分享到朋友圈or微博!
长按下图识别图中二维码,轻松关注我们!

点击“阅读原文”,查看 化学 • 材料 领域所有收录期刊




