金(Au)原子能吸收可见光谱中蓝紫色的光,因而宏观上在肉眼看来,黄金就呈现出互补的“黄澄澄”金色。而当金的尺寸缩小到纳米尺度时,光的吸收受到其表面等离激元共振(surface plasmon resonance, SPR)影响,通过改变纳米颗粒的大小和形状,就可能呈现出五彩斑斓的颜色。当然,除了改变颜色,表面等离激元共振还能赋予纳米金更多特殊性质。例如,长40 nm直径10 nm的金纳米棒在长轴和短轴方向的两种表面等离激元共振,使得它们除了在可见光区有一个较弱的吸收外,在近红外(NIR)区也存在强吸收。这意味着,在受到近红外光照射时,这种金纳米棒能有效的吸收光能,快速提高局部的温度。鉴于近红外光在生物体内的穿透深度能达到几个毫米,人们一直希望能用它来进行光热治疗(photothermal therapy, PTT)。然而实现这种生物医学应用有一个前提——这些金纳米颗粒在体内必须足够稳定,不会聚集。一旦聚集,它们的表面等离激元共振性质就会改变,失去吸收近红外光的能力,还可能造成额外的毒性。其中的关键是寻找能和金形成较强的相互作用的配体。在近期的Nature Chemistry 上,来自美国麻省理工学院(MIT)的Jeremiah Johnson教授报道了一种双齿配体,包含共价连接的巯基和N-杂环卡宾(NHC),能让金纳米棒在生物环境中更加稳定。

图1. NHC+硫化物的双齿配体让金纳米棒在生物体内更稳定,从而提高在光热治疗中的使用寿命。图片来源:Nat. Chem.
过去,因为Au-S键的强度(键能约为125 kJ/mol)已经堪比一些较弱的共价键,所以一提到金的配体,最容易想到的就是含巯基的化合物。它们确实也被广泛应用于对金的表面处理上,包括胶体纳米金,以及在金的平面上形成稳定的自组装单分子层(SAM)。然而,当考虑在生物体内的光热治疗时,这样的作用还是不够。这是因为在生物体内天然的存在大量会和配体竞争的含巯基化合物,而光热治疗的过程还会产生局部的高温,让金纳米棒的有效寿命更短。
卡宾是另一种潜力巨大的配体,其中NHC因为稳定性较高且合成较为容易而受到广泛关注,同时NHC-Au的键能可达到150 kJ/mol,还超过了Au-S键。2014年,一篇同样发表在Nature Chemistry 上的研究就指出,NHC和硫醇一样能在金表面形成稳定的自组装单分子层,并且比硫醇的体系更加稳定(Nat. Chem., 2014, 6, 409)。事实上将硫醇自组装单分子层覆盖的金表面浸泡在1 mM的NHC中,24小时后在XPS上就观察不到硫化物的特征峰了。并且NHC在金表面形成的自组装单分子层能在沸腾的THF、100℃的酸(pH=2)/碱(pH=12)中保持稳定,在1%的过氧化氢中也仅有少量分解,稳定性十分出众。

图2. NHC在金表面能形成比硫化物更稳定的自组装单分子层。图片来源:Nat. Chem.
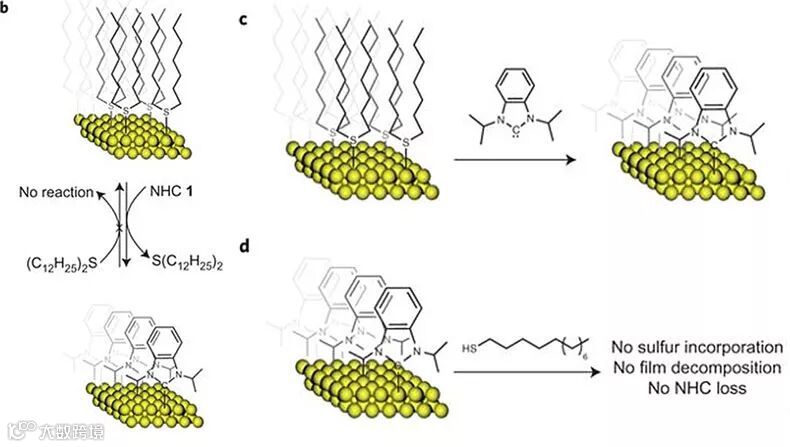
一直以来,人们也尝试用NHC做配体稳定金纳米棒,例如用NHC和十六烷基三甲基溴化铵(CTAB)稳定的金纳米棒进行配体交换,或者直接还原NHC-Au小分子,但效果都不好(图3a)。Jeremiah Johnson教授等人新设计的双齿配体1-Au(图3b)巧妙的地方在于:(1)在光照下能释放出活性的巯基将整个化合物锚定到金表面(1-Au@Au),再经过还原就可得到巯基和N-杂环卡宾稳定的金纳米棒(NHC@Au-I);(2)配体中的NHC“自带口粮”——已经预先和一个金原子配位,还原后“自带的”金原子作为吸附原子加入到表面,避免在NHC结合时重组下层表面晶格。DFT计算表明这样的设计更容易形成稳定的配位。

图3. 用NHC稳定金纳米棒的三种不同策略。图片来源:Nat. Chem.
稳定性测试表明,通过这种方法得到的NHC@Au-I(图3b)能在4 mM 谷胱甘肽(GSH)中稳定达到6天;在95℃的水中也能稳定超过5 h,优于对照的硫化物稳定的金纳米棒。同时,NHC@Au-I生物毒性较低,具有显著的近红外光热效应。进一步的光热治疗实验表明,NHC@Au-I能有效杀死乳腺癌细胞,而对照的金纳米棒效果很差。
同期Nature Chemistry 上刊载的一篇评论 [1] 指出,这种双功能的NHC多齿配体非常巧妙,该策略值得拓展到其他金表面保护中。
PS:含有巯基的化合物大部分都“很有味道”,没有闻过NHC,不知道是不是会好一点?
原文(扫描或长按二维码,识别后直达原文页面):

Robust gold nanorods stabilized by bidentate N-heterocyclic-carbene–thiolate ligands
Nat. Chem., 2019, 11, 57-63, DOI: 10.1038/s41557-018-0159-8
导师介绍
Jeremiah Johnson
https://www.x-mol.com/university/faculty/617
参考资料:
1. Surface anchors target golden bullets
https://www.nature.com/articles/s41557-018-0193-6
(本文由荷塘月供稿)

本文版权属于X-MOL(x-mol.com),未经许可谢绝转载!欢迎读者朋友们分享到朋友圈or微博!
长按下图识别图中二维码,轻松关注我们!

点击“阅读原文”,查看 化学 • 材料 领域所有收录期刊




