自然界的光合作用是世间万物赖以生存的基础,它利用可见光和酶对映选择性地催化产生有机化合物为生物生存提供了物质来源和能量来源。但是模仿自然界的光合作用利用可见光和酶实现对映选择性合成具有很大的挑战性,因为光催化和酶催化通常在不同的介质中进行,并且这两种反应的条件往往会造成彼此失活。因此,迄今为止,绝大多数已知的光/酶协同催化仅限于使用光氧化还原催化辅酶的再生,成功的光/酶结合的有机合成例子还不多见。
近日,西南大学化学化工学院何延红和官智教授课题组在联合可见光催化和酶催化实现不对合成的研究方面取得进展。相关研究成果作为热点论文(Hot Paper)在Angewandte Chemie International Edition 上发表。


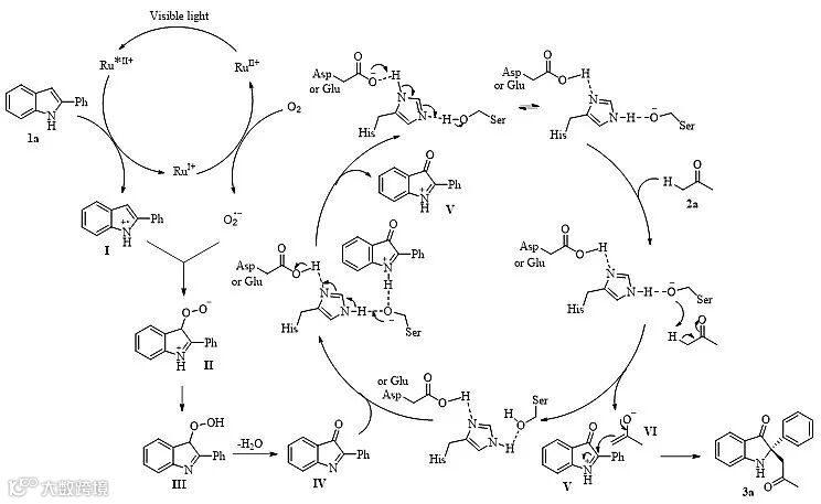
该项工作联合可见光催化和酶催化从2-芳基吲哚直接不对称一锅法合成了2,2-二取代的吲哚-3-酮。首先,2-芳基吲哚被光催化氧化成2-芳基吲哚-3-酮,接着小麦胚芽脂肪酶催化2-芳基吲哚-3-酮与其他酮的对映选择性烷基化,直接构建了吲哚C-2的季碳手性中心。实验还证明了具有与小麦胚芽脂肪酶类似催化三联体的其他几种脂肪酶也可以催化该反应。这是水解酶的非天然催化活性与可见光催化相结合用于对映选择性有机合成的第一个实例,该反应不需要任何辅因子,体系简单易行。该策略为设计光/酶联合催化对映选择性转化提供了借鉴。

可能的反应机理。图片来源:Angew. Chem. Int. Ed.
硕士研究生丁璇和董春琳为该文共同第一作者,何延红和官智为通讯作者。该工作得到了国家自然科学基金以及重庆市基础科学与前沿技术研究计划重点项目的资助。
该论文作者为:Xuan Ding, Chun‐Lin Dong, Zhi Guan, Yan‐Hong He
原文(扫描或长按二维码,识别后直达原文页面):

Concurrent Asymmetric Reactions Combining Photocatalysis and Enzyme Catalysis: Direct Enantioselective Synthesis of 2,2-Disubstituted Indol-3-ones from 2-Arylindoles
Angew. Chem. Int. Ed., 2019, 58, 118-124, DOI: 10.1002/anie.201811085
导师介绍
何延红
https://www.x-mol.com/university/faculty/13984
官智
https://www.x-mol.com/university/faculty/13981

本文版权属于X-MOL(x-mol.com),未经许可谢绝转载!欢迎读者朋友们分享到朋友圈or微博!
长按下图识别图中二维码,轻松关注我们!

点击“阅读原文”,查看 化学 • 材料 领域所有收录期刊




