灯台生物碱是一类具有重要生物活性的天然产物,主要存在于夹竹桃科植物中。在中国两广及云南等少数民族地区,夹竹桃科植物灯台树的叶子(亦称“灯台叶”)作为民族药用于治疗慢性气管炎和百日咳等症。现代药理学研究表明,灯台生物碱具有抗癌、抗菌、抗炎症、镇咳等生物活性。此类生物碱因其结构复杂、生物活性突出而受到合成化学家的广泛关注。
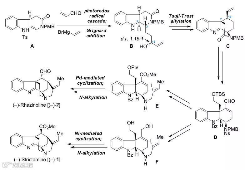
Strictamine及其同系物(下图,1–3)是灯台生物碱中特殊的一类,具有笼状五环母核结构,包括一个罕见的桥亚甲基喹诺里西丁结构单元。Strictamine及其天然同系物结构上的主要差别在于C16位具有多样的取代基团和不同的立体构型。尽管已有研究组报道了此类生物碱的合成,然而,如何发展高效新颖的合成方法及策略同时实现具有C16位不同立体构型的strictamine类灯台生物碱的不对称全合成仍然备受关注。四川大学华西药学院秦勇教授团队在前期研究中通过光催化条件下直接活化N–H键产生氮自由基,发展了分子内/分子内、分子内/分子间和分子内/分子间/分子内等三类自由基串联反应,分别高效地合成得到如图所示的白坚木型(Type I)、四氢咔波啉型(Type II)和柯楠因型(Type III)三种官能化的手性单萜吲哚生物碱骨架,并实现了相应天然产物群的全合成(Chem, 2017, 2, 803; Angew. Chem. Int. Ed., 2018, 57, 12299; Chem. Commun., 2018, 54, 9510; Org. Lett., 2019, 21, 252)。最近,秦勇教授课题组进一步利用Type II型自由基串联反应完成了灯台生物碱(–)-strictamine和(–)-rhazinoline的不对称全合成。

下图所示为详细的合成路线。大量易得的手性烯酰胺化合物A在一锅中通过连续的光催化自由基串联及格氏加成反应制得三环中间体B。后者经Tsuji-Trost烯丙基化反应建立C7季碳手性中心生成四环产物C,进一步的官能团转化可合成得共同中间体D。D转化为烯酯底物E后,经Pd-介导的环化反应及分子内N-烷基化反应合成了(–)-rhazinoline。由于直接的差向异构化尝试未能逆转C16位的立体化学,最终,从烯丙醇F出发,Ni-介导的环化及分子内N-烷基化反应过程可实现具有C16位不同立体构型的(–)-strictamine的合成。

相关成果于近日发表于Angew. Chem. Int. Ed.,该工作主要由博士研究生李文斐和陈志涛等共同完成。
该论文作者为:Wenfei Li, Zhitao Chen, Di Yu, Xin Peng, Guohua Wen, Siqi Wang, Fei Xue, Xiao-Yu Liu, Yong Qin
原文(扫描或长按二维码,识别后直达原文页面):

Asymmetric Total Syntheses of the Akuammiline Alkaloids (-)-Strictamine and (-)-Rhazinoline
Angew. Chem. Int. Ed., 2019, DOI: 10.1002/anie.201901074
导师介绍
秦勇
https://www.x-mol.com/university/faculty/37851
(本稿件来自Wiley)

本文版权属于X-MOL(x-mol.com),未经许可谢绝转载!欢迎读者朋友们分享到朋友圈or微博!
长按下图识别图中二维码,轻松关注我们!

点击“阅读原文”,查看 化学 • 材料 领域所有收录期刊




