“不减十斤不换头像”、“三个月后减到XX斤”……朋友圈里这类减肥宣誓和立Flag都不少见吧。为了更好地帮助这些朋友……抵御诱惑,本君今天要为大家带来与全世界大名鼎鼎的西班牙火腿有关的 美食 文章。对西班牙人来说,享用西班牙火腿这等饕餮盛宴充满了仪式感。具体是怎样的仪式感,大家可以看《风味人间》第一集“山海之间”第14分58秒开始的一小段介绍。

图片来源:《风味人间》第一集“山海之间” / 腾讯视频
西班牙火腿是整个后腿一起腌制的,有肉有骨。细心的吃货可能会问,这肉一片一片的片下来吃完了,那骨头怎么办?非常惭愧,本君没去过西班牙,更不知道西班牙火腿吃完了肉人家怎么处理那剩下的骨头。熬锅大骨头汤?事实是,不但能熬汤,还能发文章!

图片来源:《风味人间》第一集“山海之间” / 腾讯视频
前不久,西班牙学者Leticia Mora等人在食品科学知名杂志J. Agric. Food Chem.上发表文章,报道了他们有意思的发现——在西班牙火腿吃完后剩下的骨头中发现了具有心脏保护作用的肽类,而且真的就是煮一锅汤就行。

图片来源:J. Agric. Food Chem.
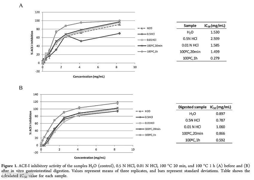
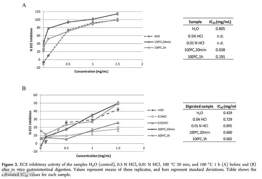
参考文献报道,作者以血管紧张素转化酶(angiotensin I-converting enzyme,ACE)、内皮素转化酶(endothelin-converting enzyme,ECE)、二肽基肽酶IV(dipeptidyl peptidase-IV,DPP-IV)、血小板激活因子乙酰水解酶(platelet-activating factor-acetylhydrolase,PAF-AH)为指标,考察了不同方法处理西班牙火腿的骨头后得到的提取物对上述几种酶的抑制作用,发现沸水煮后得到的提取物生物活性较好。


图片来源:J. Agric. Food Chem.
随后对骨头沸水煮1小时后的物质进行了蛋白鉴定,得到了含量比较高的几类蛋白质,其中血红蛋白(hemoglobin)含量最为丰富。

图片来源:J. Agric. Food Chem.
既然要找活性肽,那就肯定要对蛋白进行酶解消化、肽段分析啦。作者向我们展示了鉴定到的212个肽段,结合文献报道的ACE或DPP-IV抑制剂的结构在鉴定的肽段中找到了发挥上述生物活性的氨基酸序列。

图片来源:J. Agric. Food Chem.
西班牙火腿的故事到这里就讲完啦。本君真是深受启发啊,不知道有没有人研究过鱼汤、虾汤、排骨汤、番茄蛋汤、酸辣汤里的生物活性物质。如果没有的话,咱们研究研究也是几篇SCI,特别是广东的同学们可以开动脑筋啦。这样的课题组,画面简直不能更美,各种煲汤散发着热气,伙食很丰富,同学很丰满……
原文(扫描或长按二维码,识别后直达原文页面):

Peptides with Potential Cardioprotective Effects Derived from Dry-Cured Ham Byproducts
J. Agric. Food Chem., 2019, 67, 1115–1126, DOI: 10.1021/acs.jafc.8b05888
(本文由乐只君子供稿)

本文版权属于X-MOL(x-mol.com),未经许可谢绝转载!欢迎读者朋友们分享到朋友圈or微博!
长按下图识别图中二维码,轻松关注我们!

点击“阅读原文”,查看 化学 • 材料 领域所有收录期刊




