红外波段的二阶非线性光学(NLO)晶体材料在光电领域具有重要的应用,对它们的研究是当前激光及非线性光学领域研究的重点、难点和热点课题之一。与应用在其它波段的NLO材料相比,具有商用价值的红外NLO材料极少,主要是具有黄铜矿结构的AgGaQ2(Q = S, Se)和ZnGeP2,但它们自身较低的抗激光损伤阈值(LIDT)或双光子吸收(TPA)导致了它们有限的应用。因此,探索新的综合性能优异的NLO材料具有重要意义。硫属化合物因其宽的红外窗口和大的NLO系数,多年来一直是红外区NLO材料研究的最主要的对象。在新NLO材料的探索上,主流的趋势是材料的化学组成越来越多元、材料的结构越来越复杂、且多引入一些成本较高或者化学上活泼的碱金属或碱土金属作为抗衡阳离子。相比之下,对化学组成及结构简单、且不含高成本或活泼的金属阳离子的硫属体系的研究长期被忽略。

图1. 立方相Ga2Se3的结构
近日,扬州大学化学化工学院的郭胜平副教授实验室研究了立方相硒化镓的NLO性能。结果发现它们所获得的硒化镓不仅具有大的NLO效应(2.3倍AgGaS2)、高的LIDT(16.7倍AgGaS2)、宽的红外窗口(0.59–25 μm),且能实现相位匹配。众所周知,立方相的材料因为双折射率为零,理论上不可能实现相位匹配。这一“矛盾”的结果促使他们反复验证实验结果,十多次的测试表明结果是可靠的。因此,必然是使用他们的合成方法获得的“立方相”硒化镓结构上“有问题”,遗憾的是单晶X射线衍射技术无法区分。为了较好的解释这一反常现象,他们与中国科学院福建物质结构研究所的邓水全研究员(理论计算与分析)和郭国聪研究员(进一步的实验验证)合作,经过不懈的努力,发现他们获得的“立方相”硒化镓理论上其实是多种亚晶胞(C2221, C222和P-4)形成的超结构,这三种结构的能量和粉末XRD图的差别极小,因此很容易被忽略。这一发现得到了电子衍射实验结果的验证。高通量计算模拟表明这种硒化镓的对称性比立方相的硒化镓低,且在低温下Ga3+离子的有序或固有缺陷,有利于这种结构的稳定存在。

图2. 本工作获得的硒化镓的NLO数据

图3. 本工作获得的硒化镓的电子衍射图

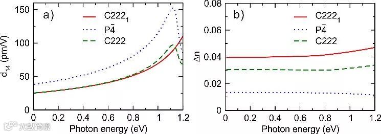
图4. 本工作获得的硒化镓的3种结构模型的理论NLO系数张量和双折射率
该工作不仅提供了一个成功的新型红外NLO材料,且为研究类似反常现象的NLO材料提供了一个成功的研究思路和范例。扬州大学郭胜平副教授和中科院福建物构所程曦月助理研究员为本论文的第一作者。
郭胜平副教授自加入扬州大学独立工作以来,主要开展了探索新类型、新体系金属硫属化合物晶体及其红外NLO性能的研究,并取得了一定进展。开发了系列含S8分子环的加合物类红外NLO材料,且性能优异,该研究为探索加合物类NLO材料开阔了视野(Angew. Chem. Int. Ed., 2018, 57, 11540, VIP, frontispiece; Inorg. Chem., 2018, 57, 11282; Inorg. Chem., 2019, 58, 4619)。同时探索了部分新颖金属硫属化合物晶体的电学和磁学性能(J. Am. Chem. Soc., 2019, 141, 9533; Inorg. Chem., 2018, 57, 5343; Inorg. Chem., 2019, 58, 3574)。此外,结合学科前沿和对本领域的理解,先后在Coord. Chem. Rev.上发表4篇关于金属硫属化合物晶体及其NLO性能的综述论文(2017, 335, 44; 2017, 347, 23; 2018, 374, 464; 2018, 368, 115).
原文(扫描或长按二维码,识别后直达原文页面):

Large Second Harmonic Generation (SHG) Effect and High Laser Induced Damage Threshold (LIDT) Observed Coexisting in Gallium Selenide
Sheng-Ping Guo, Xiyue Cheng, Zong-Dong Sun, Yang Chi, Bin-Wen Liu, Xiao-Ming Jiang, Shu-Fang Li, Huai-Guo Xue, Shuiquan Deng, Viola Duppel, Jürgen Köhler, and Guo-Cong Guo
Angew. Chem. Int. Ed., 2019, 58, 8087–8091, DOI: 10.1002/anie.201902839
导师介绍
郭胜平
https://www.x-mol.com/university/faculty/14365

本文版权属于X-MOL(x-mol.com),未经许可谢绝转载!欢迎读者朋友们分享到朋友圈or微博!
长按下图识别图中二维码,轻松关注我们!

点击“阅读原文”,查看 化学 • 材料 领域所有收录期刊




