注:文末有本文科研思路分析
利用可再生的生物质资源为人类生产和生活提供燃料和基础化学品对于人类社会的可持续发展及环境保护都极为重要。甘油是生物柴油的主要副产物,因生物柴油的规模化生产而大量富余,其转化利用问题引起很多化学家的注意,如何构建高效的催化材料,在较温和的条件下将甘油转化为高附加值的化学品是目前研究的难点。
中国科学院兰州化学物理研究所羰基合成与选择氧化国家重点实验室的石峰课题组一直致力于甘油-含氮化合物协同转化高效催化体系的构建,先后建立了以甘油为氢源、羰基源、甲基源和丙酮基源合成不同结构高附加值含氮精细化学品的多个高效催化体系(ChemSusChem, 2016, 9, 3133; RSC Adv., 2015, 5, 7970; ACS Catal., 2013, 3, 808)。
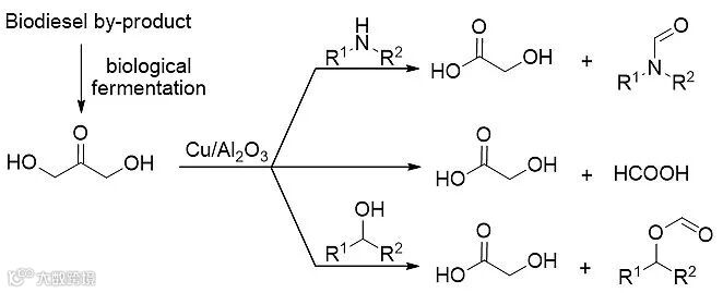
最近,他们与德国莱布尼兹催化研究所的Angelika Brückner教授合作,制备出三氧化二铝负载的单一CuII活性位点Cu/Al2O3催化剂,在室温下以双氧水为氧化剂,成功实现了甘油酮到乙醇酸(乙醇酸是生物基可降解聚合物聚乙醇酸合成的主要单体)的高选择性转化,乙醇酸收率可达94%。

进一步的研究发现,在甘油酮氧化断键生成乙醇酸的同时还伴随一分子甲酸的生成。由于甲酸容易进一步氧化为二氧化碳,导致甲酸的收率只有41%。为了提高碳原子的利用率,研究人员通过加入胺或醇将这一分子碳成功转化为甲酰胺或者甲酸酯,且获得了90%以上的收率,乙醇酸的收率也达到90%以上,从而实现了甘油酮中碳的完全利用。

研究人员对反应过程进行原位顺磁共振(In-situ EPR)研究发现,H2O2在催化剂Cu/Al2O3的作用下选择性生成的•OH自由基可能是甘油酮C-C键选择性断裂生成乙醇酸和甲酸的活性中间体。但是当第二组分胺加入到反应中时,•OH自由基则优先与胺反应生成氨基自由基,然后氨基自由基进一步与甘油酮反应生成甲酰胺。

这一成果近期发表在Angewandte Chemie International Edition 上,文章的第一作者是中国科学院兰州化学物理研究所的博士研究生代兴超和德国莱布尼茨研究所的Sven Adomeit博士。该研究得到国家自然科学基金、中国科学院“一三五”重点培育项目和羰基合成与选择氧化国家重点实验室的支持。
原文(扫描或长按二维码,识别后直达原文页面):

Sustainable Co-Synthesis of Glycolic Acid, Formamides and Formates from 1,3-Dihydroxyacetone byaCu/Al2O3 Catalyst with a Single Active Sites
Xingchao Dai, Sven Adomeit, Jabor Rabeah, Carsten Kreyenschulte, Angelika Brückner, Hongli Wang and Feng Shi
Angew. Chem. Int. Ed., 2019, 58, 5251, DOI: 10.1002/anie.201814050
导师介绍
石峰
https://www.x-mol.com/university/faculty/49684
科研思路分析
Q:这项研究最初是什么目的?或者说想法是怎么产生的?
A:“绿色”、“可持续”已经成为当前人类社会发展的主题。随着煤炭、石油等传统化石资源的日益减少及其使用所引发的日益突出的环境问题,寻求新的清洁可再生资源来提供人们生产和生活所需的燃料和化学品已经成为当前科学家们面临的重要研究课题之一。我们小组一直致力于甘油-含氮化合物协同转化高效催化体系的构建,先后建立了以甘油为氢源、羰基源、甲基源和丙酮基源合成不同结构高附加值含氮精细化学品的多个高效催化体系(ChemSusChem, 2016, 9, 3133; RSC Adv., 2015, 5, 7970; ACS Catal., 2013, 3, 808)。我们在研究铜镍复合材料催化硝基苯-丙三醇协同转化反应的过程中观察到少量乙醇酸的生成,分析发现其原因应当在于产物甘油酮进一步的氧化断链,而铜镍复合催化材料中所含的铜是导致甘油酮断链生成乙醇酸的可能活性组分。受到这一结果的启示,我们与德国莱布尼兹催化研究所的Angelika Brueckner教授合作,制备出一系列不同结构的三氧化二铝负载铜催化材料并对其催化甘油酮选择氧化合成乙醇酸进行了系统的研究。结果表明,当以双氧水为氧化剂,三氧化二铝负载铜催化剂中铜的结构从纳米级逐渐减小到单一活性位点时获得了最好的乙醇酸选择性,其最终收率可达94%。
Q:研究过程中遇到哪些挑战?
A:该研究中最大的挑战是如何构建在室温条件下具有高选择性氧化切断C-C键功能的催化材料,获得具有合适C-C键断裂活性的多相催化材料。C-C键断裂活性太强则产物选择性差,C-C键断裂活性太弱则催化剂不能够在室温下切断C-C键。此外,该催化剂还需在温和条件下具有催化C-N和C-C键构建的优异性能,这样才有可能实现甘油酮中碳的100%利用,选择性催化甘油酮和胺或醇类化合物反应高效合成乙醇酸的同时联产高附加值的甲酰胺或甲酸酯。
Q:该研究成果可能有哪些重要的应用?哪些领域的企业或研究机构可能从该成果中获得帮助?
A:该研究提供了一种室温条件下可再生生物基平台分子甘油酮高值化利用的方法,提供了一条绿色、可持续的乙醇酸(乙醇酸是生物基可降解聚合物聚乙醇酸合成的主要单体)合成路线。同时,该体系还可以实现以甘油酮为羰基源的N/O-甲酰化反应,为高附加值甲酰胺和甲酸酯的可持续合成提供了一条简单的途径。该体系反应条件温和,催化剂简单且易于分离和重复使用,因此具有一定的工业化应用前景,对于生物基可降解聚合物聚乙醇酸的可持续合成和可再生生物基平台分子的高值化利用具有一定的推动作用。

本文版权属于X-MOL(x-mol.com),未经许可谢绝转载!欢迎读者朋友们分享到朋友圈or微博!
长按下图识别图中二维码,轻松关注我们!

点击“阅读原文”,查看 化学 • 材料 领域所有收录期刊




