
手性是一种普遍的物质性质,手性分子无论是对于生命还是科学都有着巨大的意义,比如许多的药物分子是具有手性的。而手性分子只能在手性环境下被区分,在非手性环境下,其物理性质和化学性质基本上是一致的。所以在人体这个手性环境下,不同构型的药物分子由于其识别位点的不同,所起的作用是不一样的。于是如何高效合成高光学纯的手性分子,尤其是带有手性季碳中心的分子,一直以来都是一个难题。
近期,南方科技大学张绪穆教授课题组发展了一个去对称化的策略,避免了直接去形成一个难以构建的手性季碳中心,并巧妙的选取了具有对称性的环状二酮作为反应底物。高度选择性地还原对称的环状二酮是颇具挑战性的工作,因为理论分析表明,催化剂从空间上有四个不同的方向去进攻底物上的羰基,所以总共能产生两对对映异构体。如何让催化体系选择单一的方向,也就是取得单一的对映异构体,是这个问题的关键。现在已经有一些小组进行了探索,Noyori的转移氢化体系、CBS还原以及酶催化的方法都能取得单还原的结果,但是对于这类底物的单还原都没有进行系统性的研究。而本文不仅实验结果更加优异,而且做了系统性的研究,底物的范围也较为广泛,并进行了相关应用。

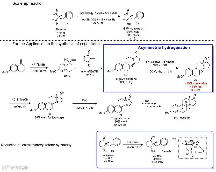
利用张绪穆课题组发展的不对称氢化体系,作者以二茂铁为骨架的手性三齿膦配体与过渡金属铱原位生成的络合物作为催化剂,在碱性条件下,选择性的催化还原环状二酮其中一个羰基,从而一次性构建了两个手性中心,其中包含一个手性季碳中心,并且能取得非常好的结果(99% ee, 24:1 dr, 9500 TON)。

本文所报道的催化体系也做了克级规模实验与应用。将实验规模放大到4克后,也能取得很好的反应结果(99% ee);同时做了(+)-estrone的全合成应用,将Corey所报道的(+)-estrone的全合成路线中构建手性中心的关键步骤进行了替换,即不对称氢化代替CBS还原,并取得了很好的反应结果(99% ee)。最后也对于二酮底物的双还原做了一些尝试,利用硼氢化钠取得了双还原的产物。

由于不对称氢化体系所用的反应原料是氢气和底物,绿色环保,原子经济;同时该类高效催化剂体系也保证了反应的高转化数,所以有望实现真正意义上的工业应用。
Desymmetrization of cyclic 1,3-diketones via Ir-catalyzed hydrogenation: an efficient approach to cyclic hydroxy ketones with a chiral quaternary carbon
Quan Gong, Jialin Wen, Xumu Zhang
Chem. Sci., 2019, 10, 6350-6353, DOI: 10.1039/C9SC01769K
https://www.x-mol.com/groups/zhang_xumu


本文版权属于X-MOL(x-mol.com),未经许可谢绝转载!欢迎读者朋友们分享到朋友圈or微博!
长按下图识别图中二维码,轻松关注我们!
点击“阅读原文”,查看 化学 • 材料 领域所有收录期刊
