烷基硼酸酯作为一种重要的合成砌块具有极高的应用价值,C-B键可以转化成各种有用的官能团。此外,硼酸酯也是过渡金属催化C-C键偶联反应的良好底物。研究者已经报道了利用二硼试剂通过自由基化学或过渡金属催化的方式对烷基卤化物、羧酸和胺进行硼化的方法(图1,A-C)。然而,醇脱氧硼化的方法尚无报道,尤其是叔醇能否硼化仍旧未知。
德国明斯特大学的Armido Studer教授课题组利用自由基途径来研究仲醇和叔醇的脱氧硼化。在Lewis碱(通常是用作溶剂的酰胺)的存在下,烷基自由基可通过B2cat2顺利发生硼化。作者基于Barton-McCombie脱氧反应,将醇转化为相应的黄原酸酯进行活化,随后可将其转化为烷基硼酸酯(图1D)。三级黄原酸酯不稳定,他们则将三级醇转化为相应的草酸酯,通过光氧化还原催化剂实现了三级烷基硼酸酯的合成。相关工作发表在Angew. Chem. Int. Ed.上。

图1. 烷基卤化物、羧酸、胺和醇与二硼试剂的硼化反应。图片来源:Angew. Chem. Int. Ed.
作者首先对黄原酸酯的硼化反应进行了研究。硅烷可以作为黄原酸酯还原的自由基还原剂。与氢化锡试剂相比,硅烷还原碳自由基的速率常数k比氢化锡还原时的k值小2~3个数量级。此外,碳自由基与B2cat2发生硼化非常迅速,远快于反应较慢的硅烷直接还原碳自由基。因此,硅烷可用于脱氧硼化。
作者以黄原酸酯1a为模型底物,AIBN作为引发剂,在不同硅烷存在下与B2cat2在DMF溶剂中70 °C下发生反应。结果表明,以三(三甲基硅基)硅烷(TTMSS)作为还原剂时反应效果最好。使用Ph3SiH、Ph2MeSiH和Ph2SiH2不发生脱氧硼化反应。作者还考察了其他碳自由基前体,黄原酸酯相比硫代氨基甲酸酯(X=咪唑基,图1D)、硫代碳酸酯(X=OPh)反应效果更好。反应在DMF体系中70 °C下使用化学计量的AIBN可以获得最高的收率,由此说明体系中并未发生自由基链反应。使用过量(4.0当量)的二硼试剂可以抑制TTMSS对烷基自由基直接还原。由于邻苯二酚硼酸酯不稳定,作者将产物转化为相应的频哪醇酯3a,收率为88%(方法A,图2)。将B2cat2的用量减少到2当量时,产率略低(75%),因此所有进一步的实验都在4当量的二硼烷条件下进行。


图2. 醇的脱氧硼化。图片来源:Angew. Chem. Int. Ed.
在优化的条件下,作者通过方法A成功地对二级醇衍生的黄原酸酯1b、1d和1e进行硼化(3b,3d,3e,63-67%)。黄原酸三级金刚烷基酯1c不发生顺式消除,是合成3c的合适底物,产率为63%。他们利用该方法还能以完全立体控制的方式完成L-薄荷醇(3f)和异冰片(3g)的脱氧硼化。该体系能够兼容内烯烃和酯等官能团,如胆固醇和石胆酸甲酯(3h,3i)。作者还通过氧化衍生化和随后的NMR实验确定了反应的相对立体化学。

图3. 底物适用范围的考察。图片来源:Angew. Chem. Int. Ed.
反应在不加入AIBN的情况下,以二甲基乙酰胺(DMAc)作为溶剂,蓝色LED照射下也能以良好到优秀的产率得到硼化产物(方法B)。而如果黄原酸酯合成不方便(例如酮3l、3m),相应的O-硫代氨基甲酸酯可作为自由基前体。该反应可以兼容多种官能团,如海柯皂甙元(3m)、托品碱(3k)和表雄激素(3l)中Boc保护的胺、酯、酮和缩醛,并且实现了良好的立体控制。接下来,作者探究一种合适的活化基团用于叔醇的脱氧硼化反应。由于反应过程中会发生其他副反应,黄原酸酯无法作为合适的叔烷基自由基前体,因此作者选择相应底物的草酸酯衍生物作为自由基前体。作者选择草酸甲酯4a作为模板底物,通过光氧化还原催化的方式考察形成碳自由基的情况。他们以三[2-苯基吡啶-C2,N]铱(III)作为催化剂,DMF为溶剂,烷基硼酸酯5a的收率为85%。
作者还发现,三级炔丙基醇可以通过该策略完全区域控制地转化为联烯基硼酸酯,该产物是合成高炔丙醇和炔丙胺非常有价值的试剂。支链炔丙醇的反应性也较好。该反应应用于生物活性的美斯特诺,能以54%的产率得到联烯类化合物5n。
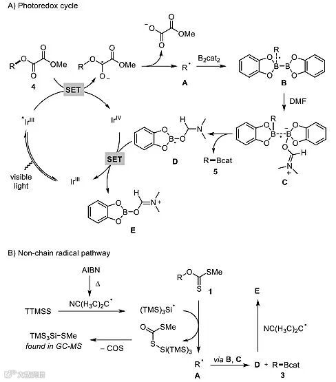
图4A展示了光氧化还原过程的机理。烷基自由基A是由光激发的Ir(ppy)3催化剂(Ir(III)*)向草酸甲酯4电子转移并发生C-O键断裂而形成的。随后A与B2cat2作用形成自由基B,B被溶剂捕获得到中间体C。弱B-B单电子σ键容易均裂,得到烷基邻苯二酚硼酸酯5和D。自由基D被Ir(IV)光催化剂氧化,得到阳离子物种E,从而再生Ir(III)。图4B(方法A)展示了非链式自由基TTMSS过程的可能反应机理。自由基探针实验支持反应过程中存在自由基。硅烷经氢原子转移形成TTMSS自由基,其与黄原酸酯1反应并发生裂解,得到自由基A和(Me3Si)3SiSCOSMe。自由基A通过B和C硼化。自由基D被另一个2-氰基-异丙基自由基氧化得到E。由于自由基D稳定且具有亲核性,TTMSS直接还原D效果较差,由此需要使用当量的AIBN。

图4. 可能的反应机理。图片来源:Angew. Chem. Int. Ed.
总结
Armido Studer教授课题组报道了仲醇和叔醇分别通过黄原酸酯及草酸甲酯进行自由基硼化反应的两种新方法。对于仲醇,反应以TTMSS介导自由基形成,无需使用过渡金属催化剂。对于叔醇,在不需要加入任何自由基介质的情况下,反应可以通过草酸甲酯作为自由基前体来实现去氧硼化反应。该方法条件温和,可用于大量制备各种烷基硼酸酯,并具有良好的产率。丙炔醇能完全区域选择性地转化为相应的联烯丙基硼酸酯,这些都是有机合成中有价值的合成单元。
原文(扫描或长按二维码,识别后直达原文页面):

Deoxygenative Borylation of Secondary and Tertiary Alcohols
Angew. Chem. Int. Ed., 2019, DOI: 10.1002/anie.201904028

本文版权属于X-MOL(x-mol.com),未经许可谢绝转载!欢迎读者朋友们分享到朋友圈or微博!
长按下图识别图中二维码,轻松关注我们!

点击“阅读原文”,查看 化学 • 材料 领域所有收录期刊




