
芳香醛类化合物是合成香精、医药和农用化学品的关键中间体。诸多合成芳醛的方法中,选择性的氧化甲苯类化合物合成芳醛是公认的最重要的方法。空气氧化的条件下,苯甲醛的氧化比甲苯的氧化要容易上万倍。这就导致了选择性的氧化甲苯类化合物合成芳香醛过程中,芳香醛容易被过氧化为芳香酸,大大降低了合成的有效性。因此,该方法的最大挑战性问题是抑制和降低醛的过氧化。目前的解决方法通常陷入两难境地:降低醛的过氧化,则要降低体系的氧化活性,同时会导致合成醛反应的效率下降;如果要提升反应效率,则要提高反应体系的氧化活性,同时会导致醛的过氧化升高。虽然有些化学计量的氧化方法做到了氧化活性好和醛选择性高,但是这些方法存在底物适用范围窄、官能团相容性较差,同时大量氧化剂的使用导致了反应成本高和三废排放量大的问题,都限制其广泛应用。
南京师范大学的韩维教授课题组基于细胞色素P-450(Cytochrome P-450)催化氧化烃过程的前期研究基础(Angew. Chem. Int. Ed., 2017, 56, 12712;Chem. Commun., 2019, 55, 4817),使用地壳中的含量第二大的金属铁为催化剂催化氧化化学计量的甲苯类化合物合成芳香醛,既取得了氧化甲苯类化合物的高反应活性,又取得了合成芳香醛的高选择性。
该反应的普适性好,富电子甲苯类化合物、缺电子甲苯类化合物、有位阻的甲苯类化合物以及噻吩、噻唑杂环都能取得优良的催化效果;此外,叔碳-氢键也可较好的兼容。值得一提的是,通常难催化氧化的长烷基链的苯也取得了优良的催化效果,而且易氧化的羟基官能团能完好保留。

醛基芳硼酸含有亲核性的碳-硼部分和亲电性的羰基官能团,在合成中具有重要的用途。传统合成该类化合物的方法涉及到羰基的保护、金属化、脱保护和水解的繁琐步骤。基于上面烷基苯氧化的优良结果,进一步将该方法用于甲基芳硼酸和烷基芳硼酸的氧化。结果表明:该方法通用性好,一系列烷基芳硼酸都取得了优良的催化效果;反应具有专一的选择氧化苄基碳-氢键,而更加活泼的硼官能团和醛基都完好保留,这解决此前硼酸官能团难于兼容于氧化体系的挑战性问题,为步骤经济性合成多功能团化的芳硼酸提供了新的思路和方法。

该催化方法的另一大亮点是对含有苄基碳-氢的复杂小分子具有前所未有的催化效果。例如,可以合成天然产物Glucovanillin;天然产物脱氢松香酸、药物Gemfibrozil和Tocopherol nicotinate都可以直接化学专一性的发生苄基的氧化,形成目标产物醛或酮;未保护胆酸也能取得优秀的催化效果。

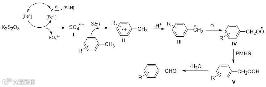
最后,作者通过机理控制试验,阐明了反应具有高的选择性的原因是反应以单电子转移机理发生,而不是通常的氢原子转移机制;同时,PMHS的存在也有利于一直过氧化的发生,提出的反应机理如下:

综上,韩维教授课题组发展了一个仿生铁催化氧化烷基苯,特别是甲基苯类化合物的高效和高选择性的方法,解决了该反应长期存在的反应活性与选择性难以调和的挑战性问题。该方法可以用于甲基芳硼类化合物的氧化,一步合成传统方法难以合成的醛基芳硼酸类化合物。该方法的另一大亮点是可以高选择性的用于复杂分子的后期氧化,为用于药物合成或全合成奠定了重要基础。最后机理阐明了反应能高选择性进行的机制。
Bio-inspired iron-catalyzed oxidation of alkylarenes enables late-stage oxidation of complex methylarenes to arylaldehydes
Penghui Hu, Mingxi Tan, Lu Cheng, Hongyuan Zhao, Rui Feng, Wei-Jin Gu, Wei Han
Nat. Commun., 2019, 10, 2425. DOI: 10.1038/s41467-019-10414-7
https://www.x-mol.com/university/faculty/11734


本文版权属于X-MOL(x-mol.com),未经许可谢绝转载!欢迎读者朋友们分享到朋友圈or微博!
长按下图识别图中二维码,轻松关注我们!
点击“阅读原文”,查看 化学 • 材料 领域所有收录期刊
