
对于下一代电子设备来说,可穿戴、与人体兼容是公认的发展大方向,因此柔性和可拉伸性就成了需要满足的重要需求。这其中,可拉伸透明导电材料是发展柔性电子设备的基础。目前有报道的可拉伸导电材料,有的基于诸如金属、碳纳米管或石墨烯之类原本不具备可拉伸性的材料,通过材料结构设计(如波浪形结构)或者与其他材料复合来在一定程度上增强其可拉伸性。但是,此类材料无法承受较大的机械应变,复杂的材料结构也会降低光学透明度,而且复杂的制造过程还会导致高成本和低产量的问题。相比之下,制造简单、拉伸性高、透明性好、生物相容性优秀的导电水凝胶就显得很有优势。但是,水凝胶的稳定性是个大问题,长期暴露于工作环境会导致水分蒸发,性能受损;在潮湿的环境下,水凝胶中包含的亲水性聚合物链又会吸收水分子,容易导致电性能不稳定;此外,在高温(> 100 ℃)及低温(< 0 ℃)下,水凝胶导体往往会失去原有的功能。
由聚合物网络在离子液体(ionic liquid, IL)中溶胀而形成的离子凝胶(ionogel)具有高离子电导率,同时热稳定性和化学稳定性良好,不挥发,电化学稳定性窗口宽,不易燃,是一种广受关注的柔性电解质材料。然而,大多数现有的离子凝胶机械性能较差,刚度高,韧性低,在小应变下就会断裂,难以用于可拉伸透明电子设备。此外,有些离子凝胶的稳定性也不太好。例如,由亲水性聚合物和离子液体制备的离子凝胶通常具有吸湿性,在潮湿环境中性能很受影响。
为了解决上述问题,北京航空航天大学和中国科学院理化技术研究所的江雷院士团队基于聚(丙烯酸乙酯)基弹性体和室温离子液体之间的氢键作用,设计了具有高透明度、优秀机械性能和超高稳定性的高性能离子凝胶。通过合理地调节离子液体的化学结构,实现了离子液体与弹性体的良好相容,所得透明、疏水性离子凝胶具有超强的机械性能(15-484 kPa的良好弹性、超过5000%的超高可拉伸性和高达4.7 kJ m-2的创纪录断裂韧性)和高稳定性(热稳定性、电压稳定性、空气稳定性、耐湿性、强自粘力和非腐蚀稳定性)。直接使用这种离子凝胶制造的皮肤状传感器,不仅具有出色的耐用性(100%应变下10000次循环),而且还能够在恶劣的环境条件下正常工作,包括高真空(6 × 10-4 Pa)、高温(100 ℃)、低温(-70 ℃)和高相对湿度(99%)。相关论文发表于Materials Horizons,通讯作者为中科院理化所刘洪亮副研究员。

图1. 基于氢键作用设计新型透明、强韧且超稳定离子凝胶。图片来源:Mater. Horiz.
研究者使用丙烯酸乙酯单体和乙二醇二甲基丙烯酸酯交联剂制备了聚(丙烯酸乙酯)基弹性体,随后弹性体在室温离子液体[C2mim][NTf2]中溶胀得到离子凝胶(图1a)。之所以选择[C2mim][NTf2],是因为它与弹性体具有良好的混溶性,粘度低,室温离子电导率高,电化学稳定性良好。所制得的离子凝胶同时具有优秀的透明度、离子电导率和可拉伸性:厚度为0.34 mm的离子凝胶在400-800 nm的整个可见光范围内具有95%的平均透射率(图1b);随着温度升高,离子凝胶的离子电导率增加(图1c);离子凝胶能以10 mm min-1的速率拉伸至其原始长度的50倍而不会断裂(图1d)。卓越机械性能使得离子凝胶在打结之后,还能被大范围拉伸(图1e)。这种新型离子凝胶的性能,要远优于近期报道的其他韧性离子凝胶。

图2. 离子凝胶中的分子相互作用研究。图片来源:Mater. Horiz.
离子液体与弹性体的相容性是成功制备离子凝胶的最重要参数。研究者评估了一系列具有不同阳离子和阴离子结构的离子液体,研究了弹性体在不同离子液体中的溶胀动力学(图2a-b)。他们发现咪唑阳离子基离子液体中如果含有的是其他阴离子(例如[BF4]、[DCA]、[TFA]等),弹性体完全不溶胀。即便在助溶剂存在下,离子液体[C2mim][DCA]能被引入弹性体,所制得的离子凝胶也不透明(图2c),这表明发生了相分离。在[C2mim][NTf2]-弹性体离子凝胶横截面上,N、F和S元素均匀分布,表明[C2mim][NTf2]均匀分布在弹性体中,没有任何相分离(图2d)。因此,研究者推测离子液体与弹性体的相容性主要由[NTf2]阴离子决定。研究者还进行了衰减全反射傅立叶变换红外光谱(ATR-FTIR)和1H NMR光谱分析,来深入了解[C2mim][NTf2]与弹性体之间的分子相互作用。数据表明,[C2mim][NTf2]与弹性体的分子相互作用主要由[NTf2]阴离子决定。聚(丙烯酸乙酯)中的带部分正电荷的H原子可以充当氢键供体,而[NTf2]阴离子中的强电负性原子(例如F、O和N)则可以作为氢键受体。

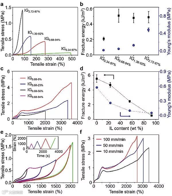
图3. 离子凝胶机械性能研究。图片来源:Mater. Horiz.
这种离子凝胶机械性能非常优秀,而且还可通过调整弹性体交联度以及离子液体含量来调整。随着弹性体内聚合物网络交联密度的增加,离子凝胶的拉伸断裂应变从490%显著降低到80%(图3a),而杨氏模量从15 kPa升高到484 kPa(图3b)。随着离子液体含量增加,离子凝胶的拉伸性、杨氏模量和韧性降低(图3c-d),离子液体含量越高,溶胀率越高,机械强度也就越弱。含有23 wt%离子液体的离子凝胶具有250 kPa的出色弹性模量,与生物组织的0.5-500 kPa具有可比性;且其断裂能为4.7 ± 0.3 kJ m-2,这创造了离子凝胶韧性的新纪录。这种离子凝胶也具有极好的稳定性:在N2气氛下,离子凝胶在高达约330 ℃的温度下可保持稳定(图4a);由于[C2mim][NTf2]的增塑作用,离子凝胶的玻璃化转变温度(Tg)随着[C2mim][NTf2]含量的增加而降低(图4b);在高达约4.2 V的电压下,离子凝胶也表现出良好的电化学稳定性(图4c);归因于[C2mim][NTf2]的不挥发性和疏水性,即使在6 × 10-4 Pa真空及99%相对湿度下储存30天后,这种离子凝胶的重量也几乎保持不变(图4d),表明离子凝胶适合在露天和潮湿环境中使用。此外,离子凝胶具有强且牢固的粘附力,不容易造成离子凝胶与电解质分层,发生机械变形时能确保其电性能的稳定(图4e及图5)。将离子凝胶-金属粘在一起,在空气中室温保存一年后,离子凝胶不仅可以保持其形状和透明度,而且对金属没有化学腐蚀作用(图4f)。良好的化学稳定性可保证基于离子凝胶的柔性电子设备可靠长期运行。

图4. 离子凝胶稳定性研究。图片来源:Mater. Horiz.

图5. 离子凝胶的高粘附性。图片来源:Mater. Horiz.
为了证明应用潜能,作者使用这种离子凝胶制作了高性能传感器。实验数据表明,这种传感器可以快速、精确地响应假人手指的动作(图6b),在各种极端环境下也能稳定的工作。例如,在高真空度(6 × 10-4 Pa)、高温(100 ℃)、低温(-70 ℃)、高湿度(相对湿度99%)下,均能稳定正常工作(图6c-f)。这些特性,使得基于离子凝胶的传感器可在许多特殊区域(如外太空、沙漠、南极和北极、雨林)中有着广阔的应用前景。

图6. 基于离子凝胶的高性能传感器。图片来源:Mater. Horiz.
江雷院士、刘洪亮副研究员团队基于聚(丙烯酸乙酯)基弹性体和[NTf2]型离子液体之间的氢键作用,设计了具有高透明度、优秀机械性能和超高稳定性的高性能离子凝胶,可用于制作高性能柔性皮肤状传感器。这种传感器即使在恶劣的环境条件下(包括高真空、高温、低温和高湿度),也可以有效监控各种运动行为。考虑到离子液体和聚合物的多样性,这一策略很有可能可以扩展到具有多种功能的离子凝胶,有望大大推动可拉伸透明电子器件的发展。
Transparent, mechanically robust, and ultrastable ionogels enabled by hydrogen bonding between elastomers and ionic liquids
Ziquan Cao, Hongliang Liu,* Lei Jiang
Mater. Horiz., 2020, DOI: 10.1039/C9MH01699F
Materials Horizons 是材料科学领域的国际领先期刊,报道材料科学与化学、物理学、生物学和工程学交叉领域的突破性首创研究,2018年的影响因子为14.356。


本文版权属于X-MOL(x-mol.com),未经许可谢绝转载!欢迎读者朋友们分享到朋友圈or微博!
长按下图识别图中二维码,轻松关注我们!
点击“阅读原文”,查看 化学 • 材料 领域所有收录期刊
