
英文原题:Negative Linear Compressibility Response to Pressure in Multi-type-Wine-Rack Metal-Organic Frameworks
通讯作者:王凯,邹勃,吉林大学
作者:Qingxin Zeng(曾庆鑫),Kai Wang(王凯),Bo Zou(邹勃)
负线压缩率(Negative Linear Compressibility,NLC)是一种多功能的物理性质,具有此性质的材料在静水压的作用下,晶体会沿某一特定的方向异常膨胀。NLC材料由于天然地具有抗压缩性,因此在众多场景中具有重要的潜在应用,如海底光缆、超灵敏压力探测器和传感器,以及“智能”防弹衣等。
“酒架”结构是最著名的具有负线压缩率机制的材料结构之一。典型的酒架结构呈菱形状,具有各向异性。当施加静水压时,菱形的酒架结构通常会以减小其锐角并增大其钝角的方式发生形变。传统的负线压缩材料只包含一种酒架单元,目前为止尚无对结构中同时包含多种不同类型的酒架单元的材料的压缩性质的研究,其在高压下会否出现负压缩以及可能出现负压缩的晶向仍不可知。
近日,吉林大学邹勃教授团队结合其前期工作基础,选择结构内包含不同酒架单元的材料-MCF-34(Mn(pba)2,pba- = 3-吡啶-4-基-苯甲酸)作为研究对象,对其进行了高压同步辐射XRD衍射实验及第一性原理计算研究,揭示了当结构内包含多种酒架单元时,材料会在所有酒架长轴的矢量合成方向上呈现负线压缩行为。
常压下,MCF-34晶体为单斜结构,空间群为I2/a,如图1所示。Mn原子占据4e的Wychoff 特殊位置,具有固定的a与c坐标。Mn原子之间由3-吡啶-4-基-苯甲酸连接,形成具有一维孔道结构的三维酒架网络框架。

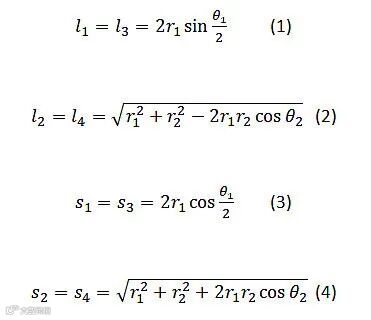
在MCF-34晶体中存在两种不同的酒架单元,且每一种酒架单元均具有两种不同的空间分布,这两种具有不同空间分布形式的酒架单元可按图2方式分解为两组,每组分别包含两个具有不同形状的酒架单元,每组两个酒架均具有共用的边和顶点。四种酒架的长轴和短轴分别记为l1-4和s1-4,酒架的轴与酒架张角θ和边长r具有如下关系:


MCF-34的高压XRD图谱如图3a所示,在0-0.77 GPa范围内,(002)与(11-2)的峰位随着压力的增压均向低角度方向移动,表明(002)与(11-2)晶面的面间距随着压力的增大而增大。利用XRD数据对晶体结构进行精修,得出材料的晶格参数随压力的变系如图3b所示。随着压力的增大,c-轴出现了负线压缩行为。由于MCF-34为单斜结构,利用PASCal计算其晶体的压缩率得出材料在X3=0.75a-c的方向上出现最大的负线压缩率。

图3. (a)高压下MCF-34的XRD图谱;(b)MCF-34晶格参数随压力的变化趋势。
为了进一步揭示MCF-34在X3轴出现负线压缩的原因,该课题组基于实验所得的晶格参数进行了第一性原理计算。计算结果表明,在高压下,N1–Mn1–N1角增大,而N1–Mn1–O1角减小,导致酒架结构的钝角θ1与θ2增大;同时, 吡啶环与苯环的旋转减小了两个芳香环与c-轴之间的夹角,在一定程度上弥补了因化学键压缩导致的酒架结构边长r1与r2的缩短,如图4a所示。从式(1)-(4)可知,θ1与θ2增大以及r1与r2近似不变导致酒架的长轴(l1, l2, l3, l4)伸长以及短轴(s1, s2, s3, s4)缩短。l1, l2, l3, l4同时伸长导致材料沿这四个矢量的和的方向,即X3 = 0.75a – c的方向出现负线压缩行为,而在s1, s2, s3与s4的矢量合成方向(X1= b)则出现较大的正压缩率(120.3 TPa–1)。值得注意的是,MCF-34在X3轴上的负线压缩率为−47.3 TPa–1,是目前为止第三大负压缩率材料。

图4. (a)高压下酒架结构参数的变化率;(b)高压下酒架结构长轴与短轴的变化率。
该研究成果表明,对于结构内包含多种类型的酒架单元的材料,其会在所有酒架单元的长轴的矢量合成的方向上出现负线压缩,而在所有短轴的矢量合成方向上则会出现较大的正压缩率。通过调控材料内酒架单元的分布,可以精确控制材料的负压缩方向。
这一成果近期发表在ACS Materials Lett.上。江苏师范大学曾庆鑫副教授为文章的第一作者。吉林大学王凯、邹勃教授为共同通讯作者。论文中实验所用样品由中山大学张杰鹏教授课题组提供。
Negative Linear Compressibility Response to Pressure in Multitype Wine-Rack Metal–Organic Frameworks
Qingxin Zeng, Kai Wang*, Bo Zou*
ACS Materials Lett., 2020, 2, 291-295, DOI: 10.1021/acsmaterialslett.9b00401
Publication Date: February 19, 2020
Copyright © 2020 American Chemical Society


本文版权属于X-MOL(x-mol.com),未经许可谢绝转载!欢迎读者朋友们分享到朋友圈or微博!
长按下图识别图中二维码,轻松关注我们!
点击“阅读原文”,查看 化学 • 材料 领域所有收录期刊
