大数跨境
0
0

三院士团队进展报告:卟啉在高效OPV中的材料设计、形貌机理与器件应用

三院士团队进展报告:卟啉在高效OPV中的材料设计、形貌机理与器件应用 X-MOL资讯
2020-06-28
4
导读:华盛顿大学Alex K-Y Jen院士团队、华南理工大学曹镛院士团队、加州大学伯克利分校的Thomas P. Russell院士团队,总结了他们近5年在基于卟啉的太阳电池的工作,相关内容涵盖材料设计与




近期有读者反映不能每天准时收到我们的推送,原因在于微信公众号平台新近改变了推送方式。为了避免类似情况,请为“X-MOL资讯”设置星标(具体操作见文末动图),读完文章点一下“在看”,保持互动热度,就能及时收到每期推送啦。


最近,华盛顿大学Alex K-Y Jen院士团队、华南理工大学曹镛院士团队、加州大学伯克利分校Thomas P. Russell院士团队合作在Advanced Materials 期刊联合发表进展报告,总结了他们近5年在基于卟啉的太阳电池的工作,相关内容涵盖材料设计与合成、形貌机理与在不同种类器件的应用

有机太阳电池的活性层分为给体材料与受体材料,而为了吸收更多的太阳光,材料学家一直在聚焦于设计窄带隙材料,但是迄今为止,高性能的窄带隙给体材料却非常少,高效小分子给体体系也非常少。作者团队2015年设计合成的DPPEP-TRs系列作为一类高性能的窄带隙给体材料,在各类太阳电池中应用广泛。作者不仅设计合成了众多具有不同特性的基于卟啉的小分子给体材料,同时对于相关的器件物理、形貌物理、自组装展开了深入的研究。此外,DPPEP-TRs系列材料被成功用于小分子太阳电池、叠层太阳电池、聚合物三元太阳电池、柔性太阳电池、OPV-钙钛矿杂化太阳电池等多类太阳电池器件中分别取得了效率记录。一系列的研究使得作者团队开发的卟啉给体材料体系成为了为数不多且应用广泛的高性能窄带隙给体材料之一,也是为数不多的高效小分子给体体系之一。

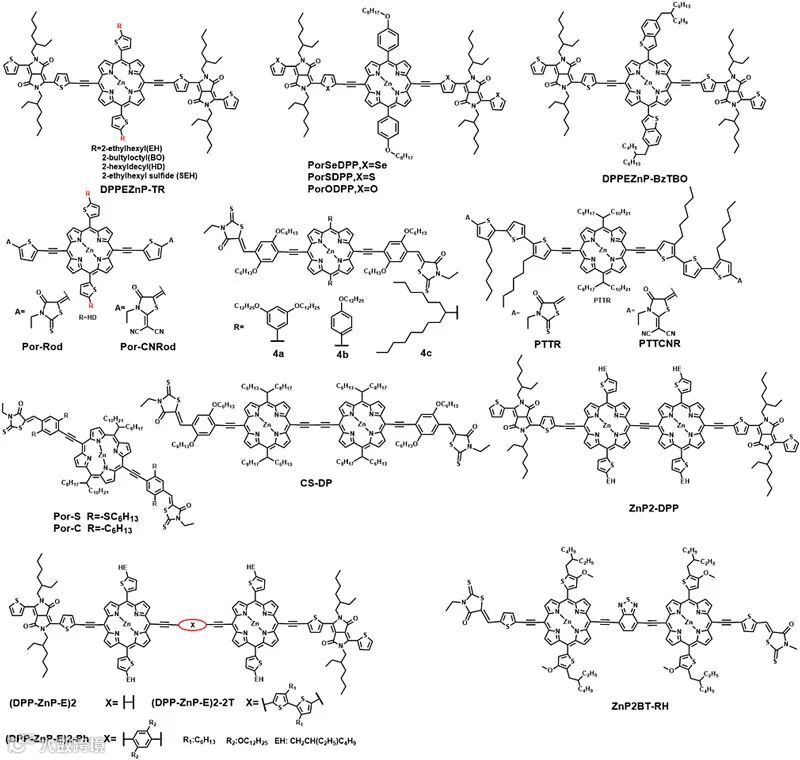
图1. 该团队设计合成的卟啉给体材料

材料设计与合成

如图1所示,作者总结了近五年他们对于不同种类的卟啉给体材料的设计,其中包含A-π-Por-π-A、A-π-Por-π-π-Por-π-A、A-π-Por-π-D-π-Por-π-A以及A-π-Por-π-Por- π-A四类结构的分子。其中A表示受体单元,π表示炔键,Por表示卟啉核。

这种设计策略具有明显的优势:首先,炔键可以降低卟啉与A单元的二面角,增加共轭;其次,末尾的A单元可以增加分子内电荷转移(ICT)作用,而降低带隙;再者,光学带隙、能级、溶解度与形貌可以通过微调结构及共轭长度来实现;最后,反应中没有使用到有毒的锡试剂及危险的锂试剂(如图2所示)。

图2. 不同构型卟啉材料的合成路线

形貌机理研究

作者对于形貌机理及非平衡态形貌生成的动力学与热力学过程进行了细致研究。首先,首次在实空间与倒易空间同时证实了多维尺度形貌在有机光伏(OPV)活性层形貌中的存在,并表明了多维尺度形貌的重要性。其次,研究了溶剂退火(SVA)下形貌变化的详细过程,并分两类情况进行了详细描述,分别要考虑Spinodal Decomposition与结晶应力。作者还通过原位形貌实验揭示了几个不同材料体系形貌生成的动力学过程。如图3,作者采用明场透射电镜(TEM)、暗场扫描透射电镜(STEM)及能量色散谱(EDX)研究实空间下本体异质结(BHJ)形貌的变化。如图4,作者采用不同种类的X射线技术研究倒易空间下BHJ形貌的变化。

图3. 明场TEM、暗场STEM及EDX在形貌机理中的应用

图4.  基于GIWAX及RSoXS的形貌机理分析举例

不同器件的应用

由于该体系卟啉材料具有宽吸收、能量损失低等特殊优势,所以被广泛应用于各类器件,比如基于PCBM的小分子太阳电池、叠层太阳电池、聚合物三元太阳电池、柔性太阳电池、OPV-钙钛矿杂化太阳电池、基于非富勒烯受体的小分子太阳电池等,并曾在不同种类器件中取得了最高的光电转换效率记录。

图5. 卟啉材料在不同器件中的应用举例

在器件物理及自组装中的应用

作者对于卟啉材料在有机太阳电池器件中的器件物理展开了深入研究,如图6a与6b,作者研究了为何在SVA处理条件下,器件开路电压(Voc)会骤降的原因。如图6c与6d所示,作者利用扫描隧道显微镜(STM)细致研究了卟啉材料的自组装行为。

图6. 用于器件物理研究及利用STM研究自组装举例

结论与展望


作者分享了该团队近五年有关卟啉材料的工作,内容涉及材料的设计与合成、形貌机理的研究、器件物理与自组装的研究以及在不同种类太阳电池器件中的应用,尤其DPPEP-TRs系列材料由于吸收宽、能量损失小等特点,被广泛应用与各类太阳电池器件,贡献了多次效率记录,使其成为至今为数不多的高效窄带隙给体材料。作者最后从五个方面对卟啉材料今后的研究做了展望:
(1)理性设计。包括中间的金属、侧链烷基链、连接基团以及受体单元等可以作为理性设计的重点。
(2)共轭框架多样性。作者提议采用稠环卟啉、卟啉聚合物等来实现特定功能的卟啉分子。
(3)兼容性。考虑更多卟啉材料与其他给体或受体的兼容性。
(4)原位形貌实验。为了更深入的探究相貌机理相关的动力学与热力学的物理化学问题,开展有必要的原位实验。
(5)其他应用。进一步拓宽卟啉材料的其他用途,比如半透明器件、光探测器等。

原文(扫描或长按二维码,识别后直达原文页面):
Low-Bandgap Porphyrins for Highly Efficient Organic Solar Cells: Materials, Morphology, and Applications
Ke Gao, Yuanyuan Kan, Xuebin Chen, Feng Liu, Bin Kan, Li Nian, Xiangjian Wan, Yongsheng Chen, Xiaobin Peng, Thomas P. Russell, Yong Cao, Alex K.-Y. Jen
Adv. Mater., 2020, DOI: 10.1002/adma.201906129

主要作者简介

高珂,2016年华南理工大学博士毕业,2015年至今先后在劳伦斯伯克利国家实验室、华盛顿大学从事科研工作。主要研究兴趣是有机功能材料设计与合成,基于X射线与TEM的薄膜形貌机理研究,器件表征与物理,狭缝打印。近5年发表论文近60篇,H因子30。以第(共)一/通讯作者发表论文约30篇;含IF>10的22篇,含Adv. Mater.(8),JACS(3),Nature Photonics(1),AEM(4),AFM(1), Nano Energy(2)等,先后10余篇为ESI高被引或ESI热点论文。相关工作被评为“中国百篇最具影响国际学术论文”及“中国光学十大进展”等。长期为Appl. Phy. Rev., Advanced系列, EES, Joule等30余个期刊独立审稿人及奥地利自然基金函评人。


Alex K.-Y. Jen, 化学家,欧洲科学院外籍院士。2016年起担任香港城市大学常务副校长(provost)、首席教授。此前在华盛顿大学担任波音-约翰逊讲习教授及华盛顿大学材料科学与工程学院院长。发表论文750余篇,引用次数超过60000次,H因子为125。研究兴趣为利用分子,聚合物及生物高分子自组装制备有机/无机功能材料,应用于光子学,光电学,能源,纳米医学及纳米技术。兼任美国西北太平洋国家实验室顾问委员会主席,华盛顿州技术中心主任委员,台湾中央研究院顾问委员会委员,浙江大学首席教授,国立台湾大学荣誉首席教授,及韩国高丽大学“世界一流大学教授”等。同时,是四家信息技术公司的主要创始人。是MRS,ACS,AAAS,OSA,SPIE, PMSE等协会的Fellow。


https://www.x-mol.com/university/faculty/1589



【声明】内容源于网络
0
0
X-MOL资讯
“X-MOL资讯”隶属于X-MOL学术平台(官网x-mol.com),关注化学、材料、生命科学、医学等领域的学术进展与科研前沿,提供专业与深度的内容。公众号菜单还提供“期刊浏览”等强大功能,覆盖各领域上万种期刊的新近论文,支持个性化浏览。
内容 19833
粉丝 0
X-MOL资讯 “X-MOL资讯”隶属于X-MOL学术平台(官网x-mol.com),关注化学、材料、生命科学、医学等领域的学术进展与科研前沿,提供专业与深度的内容。公众号菜单还提供“期刊浏览”等强大功能,覆盖各领域上万种期刊的新近论文,支持个性化浏览。
总阅读1.6k
粉丝0
内容19.8k