近期有读者反映不能每天准时收到我们的推送,原因在于微信公众号平台新近改变了推送方式。为了避免类似情况,请为“X-MOL资讯”设置星标(具体操作见文末动图),读完文章,先点“赞”、后“在看”,保持互动热度,就能及时收到每期推送啦。
软硬复合材料体系在应用过程中受到外界应力刺激时,常见会发生表面失稳的现象。其中,表面起皱是最为常见的材料表面失稳方式。近来,随着对表面起皱现象内在物理机制的不断深入了解,应力松弛型的皱纹形貌被广泛用于防伪、柔性电子器件等构筑应用;复合膜体系表面皱纹形貌与材料物性以及应力刺激之间的函数关系则被广泛应用于材料物性(模量、粘弹性)表征、膜体系内残余应力表征等微/纳计量方面。
近日,美国国家标准与技术研究所(NIST)Christopher M. Stafford博士和南密西西比大学(USM)Derek L. Patton教授合作,基于表面起皱技术对超薄膜/涂层体系内压缩应力(应变)进行了定量化分析。处于基底受限状态的聚(苯乙烯-马来酸酐)(pSMA)聚合物刷受到溶剂溶胀应力刺激,表面形成皱纹形貌;根据形貌与应变的定量关系,研究团队反向推导出聚合物刷表面的溶胀应变(应力)情况。

软硬复合膜/基体系表面起皱现象示意图。图片来源:Macromolecules
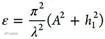
研究团队首先以聚苯乙烯(PS)为表层膜,以聚二甲基硅氧烷(PDMS)为弹性基底构筑双层PS/PDMS表面起皱体系。通过机械拉伸诱导起皱,基于PS/PDMS体系表面皱纹形貌与机械应力(应变)之间的依赖性,进一步校验了膜/基底体系皱纹形貌与材料物性参数(模量、膜厚)、施加应力之间的定量函数关系(
)。

PS/PDMS体系表面皱纹形貌与压缩应力依赖性表征。图片来源:Macromolecules
在受限基底表面pSMA聚合物刷(80 nm厚度)经过胱胺处理后形成软硬双层体系,在良溶剂乙腈的溶胀作用下,体系表面失稳生成皱纹微结构。表层交联层的厚度通过交联剂用量及反应时间进行调控,交联层厚度通过飞行时间二次离子质谱(ToF-SIMS)进行表征。

交联处理后聚合物刷表面起皱示意图。图片来源:Macromolecules
研究人员对聚合物刷体系表面溶剂溶胀诱导形成的表面皱纹形貌进行了AFM表征。随着表层交联层厚度的增加(7.16 ~ 39.2 nm),皱纹周期(315 ~ 1000 nm)和振幅(3.36 ~ 6.65 nm)逐渐增加;经过反向推导体系溶剂溶胀产生的应变为0.36% ~ 1.56%。

聚合物刷表面皱纹形貌表征。图片来源:Macromolecules
此外,基于膜/基体系表面皱纹形貌规整性的可调控性,研究团队借助AFM光刻技术引入边界效应构筑了取向性皱纹结构;并对溶胀应变条件对不同聚合物刷体系垂直于边界皱纹的有序长度进行了系统对比分析:随着膜厚、溶胀应变的增加,皱纹取向有序长度逐渐增加。
该文基于溶剂环境下胶体表面溶胀形成的表面皱纹形貌特征,对聚合物刷体系所受到的溶胀应变进行了推导分析。溶剂溶胀幅度与表面皱纹形貌的依赖性指导长程有序度取向性皱纹微结构的可控构筑。该研究成果为复杂膜/基体系在特殊环境下,体系压缩应力的调控及应用奠定了一定的理论基础。
Quantifying Strain via Buckling Instabilities in Surface-Modified Polymer Brushes
Cassandra M. Reese, Wei Guo, Brittany J. Thompson, Phillip K. Logan, Christopher M. Stafford*, Derek L. Patton*
Macromolecules, 2020, 53, 4552–4559, DOI: 10.1021/acs.macromol.9b02412

本文版权属于X-MOL(x-mol.com),未经许可谢绝转载!欢迎读者朋友们分享到朋友圈or微博!
长按下图识别图中二维码,轻松关注我们!
点击“阅读原文”,查看 化学 • 材料 领域所有收录期刊
