类玻璃高分子(vitrimers)作为一类具有动态共价键交联网络的新型高分子材料,兼具热固性和热塑性聚合物的优点,呈现卓越的自修复性能和可再加工成型特点,成为传统不可回收热固性聚合物材料的理想替代品。其中,基于环氧-酸酐固化反应制备的环氧类类玻璃高分子是该领域研究和应用最为广泛的一类高性能类玻璃高分子。但是,传统环氧基类玻璃高分子的制备多依赖于不等价的环氧/酸酐化学计量以及高剂量催化剂辅助以实现聚合物交联网络的动态酯交换反应。但是,该策略中催化体系与聚合体系的相容性、毒性以及聚合物体系交联不充分导致机械性能较低等问题极大地限制了高性能环氧类玻璃高分子的开发及应用拓展。
近日,美国华盛顿州立大学Jinwen Zhang和Tuan Liu等研究者将羟基胺化合物三乙醇胺(TEOA)作为催化共固化剂引入传统的双酚A环氧-环酸酐固化体系中,实现了兼具优异机械性能、快速自愈合性能以及简便再加工性能环氧基类玻璃高分子的简便制备。该新型环氧基类玻璃高分子具有较高的玻璃化转变温度(Tg ∼135 ℃)、抗张强度达94 MPa以及快速的自修复性能(190 ℃,10 min);同时,该环氧基类玻璃高分子体系回收再加工所制备树脂其耐热性和机械性能与初始类玻璃高分子基树脂相当。

不同催化体系下环氧-酸酐固化机理。图片来源:Macromolecules
研究人员以双酚A二缩水甘油醚(DER 331)、甲基纳迪克酸酐(NMA)为聚合单体,以不同量三乙醇胺为催化体系构筑环氧树脂交联网络(DER-NMA-TEOA)。TEOA结构中的羟基和叔氨基团能够催化双酚A环氧-环酸酐的固化过程,同时叔氨和环氧树脂侧链再生的羟基能够加速树脂交联网络体系中的酯交换反应。

环氧基类玻璃高分子聚合体系构成。图片来源:Macromolecules
非等温DSC中聚合体系活化能的降低(DER-NMA-0.05TEOA (2.0 wt % TEOA)活化能98.4 kJ mol-1,DER-NMA-0.2TEOA (5.6 wt % TEOA) 活化能80.7 kJ mol-1),证实了TEOA的催化作用。同时,DER-NMA-TEOA聚合物结构通过FTIR 进行了详细表征分析。

聚合物DSC及FTIR表征。图片来源:Macromolecules
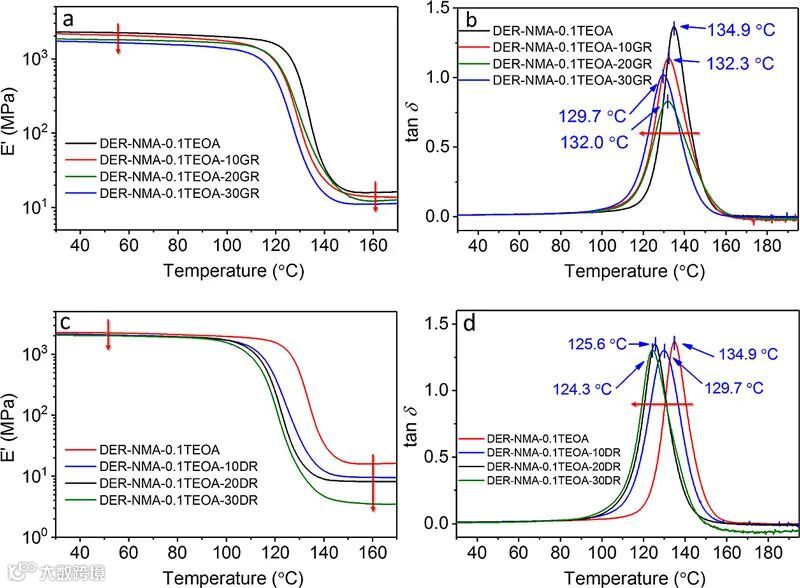
热分析显示环氧基类玻璃高分子玻璃化转变温度在130 ℃左右,且受聚合物体系主链刚性和交联密度影响。固化环氧树脂存储模量 (E′) 随温度变化测试显示:DER-NMA-0.1TEOA(低TEOA含量)具有最高的高弹态模量,数据与树脂Tg和溶胀率数据一致。

环氧基类玻璃高分子玻璃化转变温度和模量表征。图片来源:Macromolecules
在机械性能方面,应力应变曲线显示环氧基类玻璃高分子树脂皆呈现脆性断裂,但TEOA的引入明显提升了固化树脂的断裂伸长率(4.8% →7.4-8.8%)、抗张强度(55.8 MPa → 94.5 MPa)、拉伸模量(1.5 GPa → 1.8 GPa)以及抗冲击强度(4.3 kJ m-2 → 19.2-24.1 kJ m-2)。

环氧基类玻璃高分子机械性能表征。图片来源:Macromolecules
同时,基于空间位阻效应,TEOA催化得到的交联体系中环氧均聚生成双键含量更低,环氧基类玻璃高分子树脂体系(DER-NMA-TEOA)与传统的DER-NMA-2E4MI(2E4MI:2-乙基-4-甲基咪唑)固化树脂体系相比颜色更浅。

环氧基类玻璃高分子自修复性能测试。图片来源:Macromolecules
此外,基于TEOA对环氧基类玻璃高分子交联体系中动态酯交换反应的催化作用,环氧基类玻璃高分子体系呈现出卓越的快速自修复性能;DER-NMA-0.1TEOA体系(Tg 130 ℃)在190 ℃温度下10 min实现了完全自修复,而DER-NMA-2E4MI体系在190 ℃、30 min条件下裂纹只愈合了约32%。

环氧基类玻璃高分子再加工循环利用示意图。图片来源:Macromolecules
研究团队进一步测试环氧基类玻璃高分子体系的再加工循环应用性能,分别采用物理研磨和化学降解(1.5 wt %磷钨酸水溶液中190 ℃水解5 h)两种途径对环氧基类玻璃高分子树脂处理,然后与新制备的DER-NMA-0.1TEOA体系混合、固化。共混树脂体系的模量、Tg与初始DER-NMA-0.1TEOA体系相当,表明环氧基类玻璃高分子体系具有优异的再循环利用性能。

环氧基类玻璃高分子循环利用-树脂性能表征。图片来源:Macromolecules
总结
该研究以羟基胺化合物三乙醇胺为环氧-酸酐固化反应催化体系,简便实现了高性能环氧基类玻璃高分子的绿色制备,避免了传统催化体系带来的环境污染、聚合物交联不充分等问题。同时,该研究探索开发的物理法/化学法两种环氧基类玻璃高分子再加工循环应用的高效策略,为消除传统环氧树脂固化体系与环氧基类玻璃高分子之间的性能差距提供了一种新的解决方案。
原文(扫描或长按二维码,识别后直达原文页面):

Triethanolamine-Mediated Covalent Adaptable Epoxy Network: Excellent Mechanical Properties, Fast Repairing, and Easy Recycling
Cheng Hao, Tuan Liu*, Shuai Zhang, Wangcheng Liu, Yingfa Shan, Jinwen Zhang*
Macromolecules, 2020, 53, 3110–3118, DOI: 10.1021/acs.macromol.9b02243

本文版权属于X-MOL(x-mol.com),未经许可谢绝转载!欢迎读者朋友们分享到朋友圈or微博!
长按下图识别图中二维码,轻松关注我们!

点击“阅读原文”,查看 化学 • 材料 领域所有收录期刊




