近期有读者反映不能每天准时收到我们的推送,原因在于微信公众号平台新近改变了推送方式。为了避免类似情况,请为“X-MOL资讯”设置星标(具体操作见文末动图),读完文章,先点“赞”、后“在看”,保持互动热度,就能及时收到每期推送啦。
玻璃态聚合物(glassy polymers)具有机械模量高、硬度大的特点,在航空航天、汽车、医学设备等领域应用广泛。然而,刚柔难相济,玻璃态聚合物的出色机械性能与其在室温下活动受限的聚合物链网络息息相关,这样也使得材料断裂之后在玻璃态温度(Tg)下很难自我愈合。东京大学Takuzo Aida等人曾利用低分子量聚合物中高密度氢键作用实现材料的自愈 [1],证明了在外界压力下通过分子链间氢键的作用,可以实现玻璃态聚合物在室温自愈。不过该文主要关注线性聚合物的自愈,对于Tg高于室温的玻璃态超支化聚合物,由于分子链相互缠绕而受限,在室温下很难自愈。
近期,四川大学的吴锦荣教授等研究者在PNAS 报道了一系列无规超支化聚合物(randomly hyperbranched polymers,RHP),利用高密度的氢键实现室温下的自愈过程,该类材料Tg和储能模量分别可以达到49 °C和2.7 GPa。将断裂后的这种材料在室温下接触1 min,抗拉强度即可恢复到5.5 MPa。

玻璃态超支化聚合物内部分子片段被高度限制,分子迁移率低,而外部支链单元和端基具有较大的迁移率。因此,作者提出通过控制聚合物的外部侧链和末端基,引入可以实现自愈的多种氢键互补基团,有助于玻璃态超支化聚合物在室温下自愈。为了证明该设想,作者首先利用N,N'-亚甲基双丙烯酰胺(MBA)和1,4-丁二胺(BDA)基于迈克尔加成反应合成了一系列无规超支化聚合物(图1)。BDA中一个-NH-可以和MBA中的一个CH2=CH-反应,通过控制-NH-和CH2=CH-的比例使得到的聚合物末端基为氨基,分别得到RHP-1、RHP-2和RHP-3(MBA/BDA分别为1/1.125、1/1和1/0.875)。这些聚合物具有大量的氨基、酰胺等基团,能够形成高密度的氢键。

图1. RHP的合成反应与机理。图片来源:PNAS
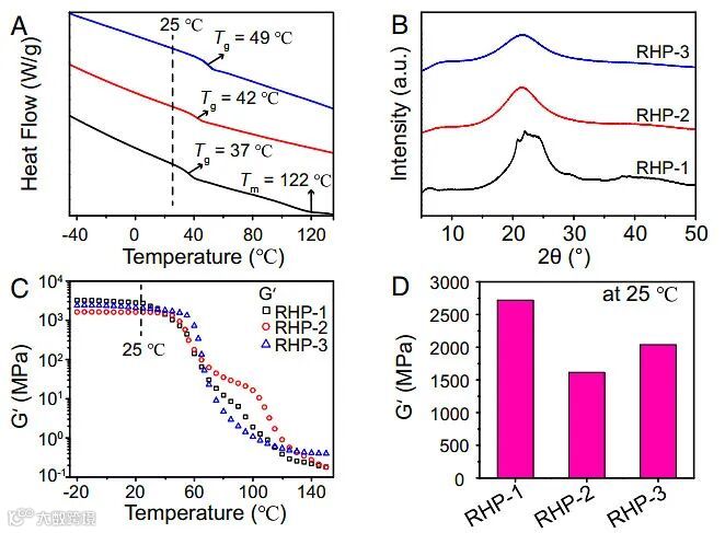
由于大量氢键的存在,这些聚合物的Tg较高,作者表征了RHP材料的热力学性质(图2)。由差示扫描量热法(DSC)表征结果可得RHP-1、RHP-2和RHP-3的Tg分别是37、42和49 °C,表明它们在室温下都是玻璃态聚合物。由XRD表征结果可得在RHP-1中有一个很尖的结晶峰,而在RHP-2和RHP-3中只有宽峰,这证明RHP-1是半晶质结构,而RHP-2和RHP-3为非晶态(图2B)。其中RHP-1的结构应该是因为支化度低和分子尺寸小,这有利于分子的有序排列。由动态力学分析可得RHP-1在25 ℃的储能模量可达2,721 MPa(图2C和D)。而25℃下RHP-3的储能模量比RHP-2的高,证明通过增加分子的尺寸和降低端基数量有助于提高材料的刚性。

图2. 不同RHP的热机械性质。图片来源:PNAS
接着,作者分析了RHP的分子动力学(图3)。由Vogel–Fulcher–Tammann (VFT) 方程拟合了α过程的平均弛豫时间τ,通过VFT方程外推至25℃可得对于α过程中的平均弛豫时间为105 s (RHP-1) 到109 s (RHP-3)。该结果证明室温下RHP中链段运动几乎不发生,也说明链段运动在自愈过程没有作用。通过分析β弛豫(包含氨基末端侧链的局部运动)、γ弛豫(游离酰胺基团的运动)和δ弛豫(末端氨基的运动)(图3A-C),发现δ弛豫最快,其次是γ弛豫和β弛豫,证明这几种运动在Tg以下也能进行,这也能从三种过程的活化能(15~71 kJ/mol)可以看出来(图3D)。以上过程都能实现氢键的重排,这为实现玻璃态超支化聚合物室温下自愈提供了理论基础。

图3. 不同RHP的介电弛豫行为。图片来源:PNAS
作者通过不同温度下的红外光谱研究了RHP中氢键变化(图4A)。从结果中可得室温条件下在1640和1544 cm-1处有峰出现,这是酰胺与-NH-形成的氢键产生的峰。而随着温度从25 ℃增加到150 ℃时在1544和1640 cm-1处峰强度降低,而1659 cm-1(属于游离酰胺基团)和1530 cm-1(属于游离-NH-基团)处峰强度增加,这说明随着温度升高氢键逐步解离。在核磁共振氢谱图结果中也可以得到相同的结果(图4B)。氢键的解离过程在25 ℃可观察到,表明部分氢键在室温下就很活跃,这能促进室温下RHP的自愈过程。为了进一步研究RHP在Tg处的动态变化,作者研究了20~40 ℃下-NH-振动的二维相关红外分析(图4D和E)。结果发现室温附近的RHP自愈过程中游离的-NH-基团先移动(图4F),然后参与形成氢键。

图4. 不同RHP中的氢键和自愈机理。图片来源:PNAS
最后,为了证明RHP材料的自愈能力,作者将矩形的RHP-1(30 × 10 ×1 mm3)截断,随后将两个碎片接触1 min,发现粘到一起之后可以承受300 g的重物(图5A及前文动图)。为了研究自愈的效率,作者定量分析了不同时间的自愈程度,在自愈1 min后恢复抗张强度可达5.5 MPa,这远超过大多数的自愈材料(图5B和C)。

图5. 不同RHP中的自愈性能。图片来源:PNAS
在本工作中,作者提出基于高密度的氢键实现室温下可自愈的玻璃态无规超支化聚合物,并制备了一系列聚合物进行证明。通过研究材料的不同弛豫过程,证明了该自愈现象主要是因为氢键的作用。这一成果为构建具有室温自愈合能力的玻璃态聚合物指出了新的道路。
Room-temperature autonomous self-healing glassy polymers with hyperbranched structure
Hao Wang, Hanchao Liu, Zhenxing Cao, Weihang Li, Xin Huang, Yong Zhu, Fangwei Ling, Hu Xu, Qi Wu, Yan Peng, Bin Yang, Rui Zhang, Olaf Kessler, Guangsu Huang, Jinrong Wu
PNAS, 2020, 117, 11299-11305, DOI: 10.1073/pnas.2000001117
1. Mechanically robust, readily repairable polymers via tailored noncovalent cross-linking. Science, 2018, 359, 72-76, DOI: 10.1126/science.aam7588
https://science.sciencemag.org/content/359/6371/72

本文版权属于X-MOL(x-mol.com),未经许可谢绝转载!欢迎读者朋友们分享到朋友圈or微博!
长按下图识别图中二维码,轻松关注我们!
点击“阅读原文”,查看 化学 • 材料 领域所有收录期刊
