不对称催化氢化反应具有原子经济性高、操作简单、清洁绿色等优点,是最受关注的不对称催化反应之一,在实验室合成和工业生产中都得到广泛应用。
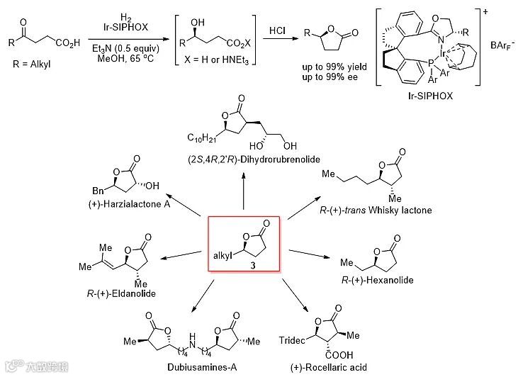
近年来,南开大学周其林、朱守非团队发展了一类手性螺环膦氮配体和铱的络合物催化剂(Acc. Chem. Res., 2017, 50, 988-1001),并成功将其用于多种不饱和羧酸的不对称催化氢化,在温和条件下获得很高的活性和对映选择性。系统而深入的反应机理研究表明,底物中的羧基官能团起到了导向基的作用,能够有效稳定活性中间体,进而提高了反应的活性和对映选择性(J. Am. Chem. Soc., 2017, 139, 541-547)。最近,该团队成功将上述羧基导向的策略用于脂肪酮的不对称氢化反应中,使用手性螺环膦-噁唑啉配体的铱络合物催化剂,实现了脂肪族γ-酮酸的高对映选择性氢化反应。该反应具有条件温和、官能团耐受性好等特点。氢化产物经过简单的酸化处理,便可以高收率和高对映选择性得到一系列手性γ-内酯,进而用于多种手性药物和生物活性分子的合成(图1)。

得益于配体中螺环骨架的较强刚性,能够有效稳定活性中间体,他们成功分离并表征了多种活性Ir-H中间体,还通过核磁对反应过程进行了实时跟踪,进而利用DFT计算对反应历程进行了模拟分析,清晰阐释了该氢化反应的机理(图2)。机理研究表明,和之前报道的羧基导向烯烃的氢化反应中所经历的Ir(III)-Ir(IV)催化循环不同,该氢化反应更倾向于经历了氧化还原中性的Ir(III)催化循环,这主要是由于底物中的羧基不仅起到导向的作用,而且还促进了氢气异裂,在催化剂再生的过程中起到了关键作用。此外,DFT计算还揭示了该反应对映选择性控制的原理。

这一研究成果为难以区分前手性面的酮的不对称氢化反应提供了新的思路,也深化了铱催化酮的不对称氢化的机理认知,对于设计新的不对称氢化反应和新型手性催化剂都有启发意义。
Carboxyl Group-Directed Iridium-Catalyzed Enantioselective Hydrogenation of Aliphatic γ Ketoacids
Mao-Lin Li, Yao Li, Jia-Bin Pan, Yi-Hao Li, Song Song, Shou-Fei Zhu,* Qi-Lin Zhou*,
ACS Catal., 2020, DOI: 10.1021/acscatal.0c02142
https://www.x-mol.com/university/faculty/11976
https://www.x-mol.com/university/faculty/11980


本文版权属于X-MOL(x-mol.com),未经许可谢绝转载!欢迎读者朋友们分享到朋友圈or微博!
长按下图识别图中二维码,轻松关注我们!
点击“阅读原文”,查看 化学 • 材料 领域所有收录期刊
